PR
カテゴリ
カレンダー
コメント新着
キーワードサーチ
続きです。導かれる連立三元方程式は以下のようになります。
S n
=a n
+b n
+c n
S n+1
=a n+1
p n+1
+b n+1
q n+1
+c n+1
r n+1
S n+2
=a n+2
p n+1
p n+2
+b n+2
q n+1
q n+2
+c n+2
r n+1
r n+2
頭痛いですが、Sもpもqもrも実際は既知の数字です。がんばって解いてみます。
結果があまりにもごちゃごちゃしていたので、
P=p n+1
p n+2
Q=q n+1
q n+2
R=r n+1
r n+2
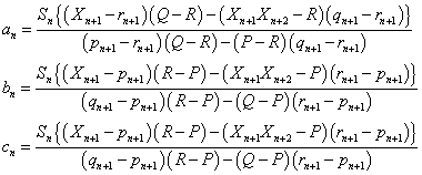
と置き換えます。これらは、(n+2)期の売上とn期の売上の比を表しています。最終的には、

腕力で解いたので、とにかく計算間違いが怖いのですが、一応EXCELで数値を入れて確認してみたところ、大丈夫そうでした。
それにしてもやってることは中学数学なんですが、パラメータが増えるとこんなに複雑になるんですね。
計算間違いも心配ですが書き間違いも心配です。楽天ブログやっぱり使いづらいです。
そのうち、数値を入れてみて確かめた記事を入れてみたいと思います。
a n , b n , c n はn期の月ごとの売上高なので、これが分かれば(n+1)期以降の売上高は、月次データを使えば正確に出すことができます。
現在分析中のセリアなんかは、今年度のデータしか出してません。過去のデータは 会社Web が大変便利ですが、ここも過去2年分のようです。
気になる企業のデータは忘れないうちに保存しておきましょう。
他にもNikkei Netで過去の開示情報が見れますが、過去1年限定です。今は亡きLivedoor Financeではもう少し長く見れたので、残念です。
どうしても欲しければ、会社のIRに直接頼めばデータをくれる可能性は高いと思います。