めいてい君のブログ

めいてい君のブログ

PR

Calendar

Archives

Dec , 2025
Nov , 2025
Oct , 2025
Sep , 2025
Aug , 2025
Jul , 2025
Jun , 2025
May , 2025
Apr , 2025
Mar , 2025

Keyword Search

▼キーワード検索

Comments

めいてい君 @ 日本の純資産~過去最大の純資産で円建てでは世界最大 [東京 28日 ロイター] - 財務省は2…

Category

寄稿(宇治見、マドレーヌ、トキめき橋氏ほか)

(68)

自由が丘氏寄稿文

(189)

Tsunami氏寄稿、SCRAP記事、写経・感想など

(326)

政治・経済(国内統計etc.)

(725)

世界、国際比較(国際統計etc.)

(228)

生活全般

(129)

基本事情(各国)

(114)

アジア州

(257)

ヨーロッパ州

(293)

北米地区

(206)

中南米地区

(112)

オセアニア州

(104)

中東地区

(51)

アフリカ州

(126)

宇宙の不思議・開発etc.

(71)

気候変動など

(7)

津波・自然災害

(30)

自然の脅威、驚異etc.

(47)

資源・エネルギー(陸・海洋etc.)

(49)

発電・原発事故・放射能事故

(74)

金融(事件含む)

(128)

PC・家電

(229)

スポーツ・余暇・車

(264)

栄養・健康

(143)

病気・伝染病など

(191)

事故・災害

(102)

福祉・厚生・年金問題

(59)

公害

(15)

流通(商品)・廃棄関連

(17)

新技術

(30)

友人・知人・地縁等

(40)

土佐の高知

(63)

(49)

お墓・葬儀・戸籍

(24)

ガーデニング&DIY

(14)

TV番組

(15)

海外旅行

(6)

国防/テロなど

(41)

財政・税・電子証明など

(28)

自治体、地元、遺産など

(37)

店舗

(6)

公衆道徳/法律など

(26)

裁判/調停

(7)

宗教

(21)

ブログ

(31)

テンプレート(表形式etc.)

(3)

DVD収録など

(6)

ホームページ、ウエブ会議など

(48)

祝い事など

(14)

会社時代

(22)

学生時代

(7)

物語り

(43)

経済学研究

(26)

思考紀行

(73)

作業中マーク(終了次第削除)

(0)

洞察力

(1)
Jan 21, 2022
XML
​​​​​​​​​​​​​​​​​★

PC画像









​    2021暦年の貿易収支
                財務省 貿易統計から適宜抜粋

https://www.customs.go.jp/toukei/
              shinbun/trade-st/2021/202128c.xml



1.総合(単位:百万円)

  貿易高は過去2番目の高水準だが、

 輸入が大きく膨らんでいる。

  輸出は前年比21.5%も増加し、

 コロナ禍前の2019年と対比しても、

 8.0%増となった。 

  輸入は前年比24.3%増加し、

 コロナ禍前の2019年と対比しても

 7.6%増加した。

  コロナ禍の2020年は経済活動も鈍化して、

 3,883億円の黒字となったが

 その前の2年間の貿易差額は2018年▲1兆2,246億円、

 2019年も1兆6,678億円の赤字であり、

 経済活動の活性化で2021年は▲1兆4,722億円の赤字となった。  










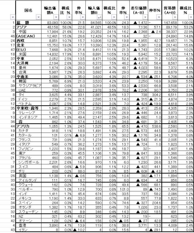
2.仕向け国別輸出輸入(単位:10億円)

  中国向けの輸出は19.2%も増加し、

 過去最大の17兆9,844億円(シェア21.6%)、

   米国向けも17.6%増の14兆8,324億円(シェア17.9%)、

 経済圏ではASEAN向けが26.6%増加し(シェア15.0%)、

 EU向けが21.4%増加し(シェア9.2%)などとなった。

  他方で、輸入はシェア24.1%を占める中国が16.2%

 の伸びで、シェア10.5%の
米国は19.3%のび、シェア

 を10.0%の中東地区が伸び率を52.4%も伸ばした。

 豪州もシェアは6.7%で、48.7%の伸びを示した。






・・・上記の表を駆使しての分析です・・・


(1) 貿易総額 (輸出+輸入) の(主要仕向け国の)順位 ​   ↓​




(2)輸出額の順位 ​↓


(3)輸入額の順位 ​       ↓


(4)貿易差額の順位              ​↓




(5)輸出の伸びの順位 ​   ↓



(6)輸入の伸びの順位 ​          ↓








3.商品別 輸出 (単位:10億円)

商品としては、鉄鋼(伸び48.1%、シェア4.6%)、

 半導体等製造装置(伸び33.2%、シェア4.0%) などが目立ち、


 車載用半導体などの調達部品が滞った自動車

 (伸び11.9%、シェア12.9%)も
回復を見せている。







4.商品別 輸入 (単位:10億円)

  資源価格の高騰により、原油および粗油(伸び率49.1%、

    シェア8.2%)、液化天然ガス(伸び率33.1%増、

    シェア2.5%)の属する鉱物性燃料( 伸び率50.3%、

  シェア20.0%
)が牽引した。









5.対米向けの輸出 (単位:10億円)








6.中東からの輸入 (単位:10億円)







★​​​​​​​​​​ ​​

​PC画像の説明>​








お気に入りの記事を「いいね!」で応援しよう

Last updated  Jan 21, 2022 12:38:08 PM
コメント(0) | コメントを書く


【毎日開催】
15記事にいいね!で1ポイント
10秒滞在
いいね! -- / --
おめでとうございます!
ミッションを達成しました。
※「ポイントを獲得する」ボタンを押すと広告が表示されます。
x
X

© Rakuten Group, Inc.
X
Design a Mobile Site
スマートフォン版を閲覧 | PC版を閲覧
Share by: