鍋・フライパンあれこれ美味
100万ポイント山分け!1日5回検索で1ポイントもらえる
>>
人気記事ランキング
ブログを作成
楽天市場
500654
HOME
|
DIARY
|
PROFILE
【フォローする】
【ログイン】
< 新しい記事
新着記事一覧(全1863件)
過去の記事 >
全て |
なし
|
弟子たちへ
|
ひとりごと
|
宿題系カテゴリ
|
数学を視覚的に
|
勉強論
|
連戦連勝Life PrE'zenter みむら
|
小学生とそのお母様お父様
|
中学生
|
高校生
|
授業の紹介!
|
執筆用
|
研究学園教室
|
お知らせ
|
笠原 康弘(数学教科主任)
|
岡本 幸也(Myself塾長)
|
小林 和弘(英語教科主任)
|
ステキ妖怪みむー
|
小林和博(英語科教科主任)
March 7, 2007
茨城県・数学の解答と感想
テーマ:
塾の先生のページ(8373)
カテゴリ:
なし
まずは1番の答え
例年通りの計算問題で、ここを落とすと厳しい
+-の符号などを間違えないようにしてほしい。
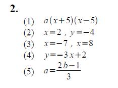
2番の答え
(1)は普通の因数分解。方程式と勘違いして「解」等をだしていないだろうか。心配。
(2)は連立方程式の問題。代入法を使った方が簡単に解けるね。
(3)は2次方程式。因数分解すると素直に解ける。
(4)は直線の式決定の問題。傾き=-3からy=3x+bと設定して代入。
(5)は式の変形。両辺を2倍してから解き始める。
(1)は「Aから途中、途中からB」の距離を文字で置いて連立方程式をたてる
(2)は補助線CDをひくとよい
(3)は1度引いた物をもとに戻すので、樹形図で全部を書くと分かりやすいだろう
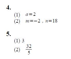
4、5の答え
4
(1)はE’zっ子は1度やったことがあるね。
A、Bの座標をそれぞれ代入して
aの値をだすのね。
(2)も何回も練習したね。
yの変域に0が入っていないことを確認して・・・
まず関数にx=-6を代入するとy=18がでてくる。
残りはy=2を代入だ。
5
(1)はPがMN上にあるのは0~4秒、PがNB上にあるのが4~8秒
であることに注意して。
直角三角形MPQにおいてPQの長さを三平方の定理を用いて求める。
(2)。すべてはPNの長さが分かるかどうかにかかっている。
PNの長さはPが動いた距離2x(cm)からMNの長さを引いた
2x-8(cm)である。
BPの長さは8-(2x-8)(cm)。
PNを出せた子は解けただろう。簡単な問題の部類にはいる。
678の答え
6
初見では新しそうな問題か!と面食らう人もいたかもしれないが
落ち着いて読み進むとドキドキも止まってくると思う。
(1)はn^2+(n-1)^2-1=420を解けばよい。
(2)は(n-1)^2+n^2+(n+1)^2-2=を解けばよい。
この問題は新傾向といえるのかもしれない。
国語力が必要となってくる。
文字数が多いので、文章を読むのが遅い子には
全体の問題がヘビーに感じさせる問題だ。
時間が・・・。なんてことはなかっただろうか。
7
中点連結定理で勝負ありの問題。
三角形DFCの中点連結定理によって一瞬で証明がおわる。
ちなみに、長方形の1つの角は90度&同位角により「二角相当」
8空間図形の三平方の定理、相似に関する問題。
(1)まず、三角形ODC(底辺をDCとする)の高さ、そして面積を求め、
「相似比の2乗=面積比」より4で割ればよい
(2)ACの長さを三角形ABCの三平方の定理で求める。
EからAC上に垂線を下ろし、その足をHとするとAH=5+5/2=15/2である。
三角形AHEの三平方の定理でAEの長さを求め、3分の1すればEGが求まる。
全体としては去年よりも軽い問題になり、時間が余った人も
多いのではないか。
・・・が、しかし5番の文字の多さにやられてしまい、
そこで大幅に時間をロスしてしまうかもしれない。
成績分布は2コブらくだ分布になると予想。
ある程度できる子はほぼ完解でき、100点も多いだろう。
しかし、中位層から下は大幅に点数を失いそうなセットだ。
2007数学は去年2006より軟化した。
お気に入りの記事を「いいね!」で応援しよう
いいね!
0
シェアする
Last updated March 8, 2007 01:21:10 AM
コメント(0) |
コメントを書く
< 新しい記事
新着記事一覧(全1863件)
過去の記事 >
ホーム
フォローする
過去の記事
新しい記事
新着記事
上に戻る
【毎日開催】
15記事にいいね!で1ポイント
10秒滞在
いいね!
--
/
--
次の日記を探す
おめでとうございます!
ミッションを達成しました。
広告を見てポイントを獲得する
※「ポイントを獲得する」ボタンを押すと広告が表示されます。
x
エラーにより、アクションを達成できませんでした。下記より再度ログインの上、改めてミッションに参加してください。
ログインする
x
X
© Rakuten Group, Inc.
X
共有
Facebook
Twitter
Google +
LinkedIn
Email
Design
a Mobile Site
スマートフォン版を閲覧
|
PC版を閲覧
人気ブログランキングへ
無料自動相互リンク
にほんブログ村 女磨き
LOHAS風なアイテム・グッズ
みんなが注目のトレンド情報とは・・・?
So-netトレンドブログ
Livedoor Blog a
Livedoor Blog b
Livedoor Blog c
楽天ブログ
JUGEMブログ
Excitブログ
Seesaaブログ
Seesaaブログ
Googleブログ
なにこれオシャレ?トレンドアイテム情報
みんなの通販市場
無料のオファーでコツコツ稼ぐ方法
無料オファーのアフィリエイトで稼げるASP
ホーム
Hsc
人気ブログランキングへ
その他
Share by: