鍋・フライパンあれこれ美味
100万ポイント山分け!1日5回検索で1ポイントもらえる
>>
人気記事ランキング
ブログを作成
楽天市場
500856
HOME
|
DIARY
|
PROFILE
【フォローする】
【ログイン】
< 新しい記事
新着記事一覧(全1863件)
過去の記事 >
全て |
なし
|
弟子たちへ
|
ひとりごと
|
宿題系カテゴリ
|
数学を視覚的に
|
勉強論
|
連戦連勝Life PrE'zenter みむら
|
小学生とそのお母様お父様
|
中学生
|
高校生
|
授業の紹介!
|
執筆用
|
研究学園教室
|
お知らせ
|
笠原 康弘(数学教科主任)
|
岡本 幸也(Myself塾長)
|
小林 和弘(英語教科主任)
|
ステキ妖怪みむー
|
小林和博(英語科教科主任)
January 17, 2011
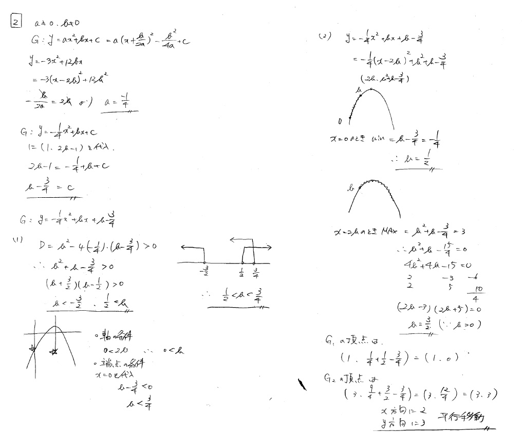
センター数学1A 解答 <速報?>
カテゴリ:
なし
いまきづいた。
第1問の後半スキャンするのわすれてた・・・。
易化。
でもゆっくりやると最後の期待値が間に合わないかも?
お気に入りの記事を「いいね!」で応援しよう
いいね!
0
シェアする
Last updated January 17, 2011 10:58:15 PM
コメント(0) |
コメントを書く
< 新しい記事
新着記事一覧(全1863件)
過去の記事 >
ホーム
フォローする
過去の記事
新しい記事
新着記事
上に戻る
【毎日開催】
15記事にいいね!で1ポイント
10秒滞在
いいね!
--
/
--
次の日記を探す
おめでとうございます!
ミッションを達成しました。
広告を見てポイントを獲得する
※「ポイントを獲得する」ボタンを押すと広告が表示されます。
x
エラーにより、アクションを達成できませんでした。下記より再度ログインの上、改めてミッションに参加してください。
ログインする
x
X
© Rakuten Group, Inc.
X
共有
Facebook
Twitter
Google +
LinkedIn
Email
Design
a Mobile Site
スマートフォン版を閲覧
|
PC版を閲覧
人気ブログランキングへ
無料自動相互リンク
にほんブログ村 女磨き
LOHAS風なアイテム・グッズ
みんなが注目のトレンド情報とは・・・?
So-netトレンドブログ
Livedoor Blog a
Livedoor Blog b
Livedoor Blog c
楽天ブログ
JUGEMブログ
Excitブログ
Seesaaブログ
Seesaaブログ
Googleブログ
なにこれオシャレ?トレンドアイテム情報
みんなの通販市場
無料のオファーでコツコツ稼ぐ方法
無料オファーのアフィリエイトで稼げるASP
ホーム
Hsc
人気ブログランキングへ
その他
Share by: