鍋・フライパンあれこれ美味
100万ポイント山分け!1日5回検索で1ポイントもらえる
>>
人気記事ランキング
ブログを作成
楽天市場
391964
ホーム
|
日記
|
プロフィール
【フォローする】
【ログイン】
新興宗教ネコミミ教
PR
×
プロフィール
双月22
わたしのブログへようこそ
フォローする
フリーページ
22装備
知識狩り装備
知識Gv装備
物理狩り装備
物理Gv装備
知識狩り装備(Lv641)
知識Gv装備(Lv644)
twinmoon装備
トラン装備
トラン東・北 戦士装備
智天使装備
U獲得履歴
お気に入りブログ
毛一族の逆襲
りむ☆りむさん
まったりといきまし…
fss7777さん
よら’s atelier
よら0597さん
ネタ剣士ですよっと
ever_free05さん
コメント新着
双月22
@
Re[1]:生きてた!(01/01)
>よら0597さん お元気そうで何よりです…
よら0597
@
Re:生きてた!(01/01)
就活乙w 院に行ったのが身になるキャリ…
双月22
@
Re:・・・(・д・`)(01/02)
>鎖流無さん おひさです~ 以前ブロ…
鎖流無
@
・・・(・д・`)
見つけちゃった… そして見ちゃった…( …
双月22
@
( ゚д゚)、ペッ
>おふたりさん 何も言うまい・・・
カレンダー
< 新しい記事
新着記事一覧(全113件)
過去の記事 >
2007年08月28日
Gvの攻撃力と防御力
(11)
テーマ:
REDSTONE(3546)
カテゴリ:
カテゴリ未分類
正直、今日の内容は合ってるのか不安・・・
私はGvでの火力を上げるために
主に手数(
ビットの本数・攻撃速度・命中
)を重視し
ビット一発の威力(
力・ダメージ補正・武器攻撃力
)は二の次としています。
4回くらい前の記事で1.2秒弓マンセー的な内容を書きましたが
実際に計算してみると白ダメを上げようとするよりも、手数を稼ぐほうが圧倒的に火力が伸びます。
というよりも、手数を稼ぐとダメが伸びやすいのではなく
白ダメを伸ばしても与えるダメージは大して伸びない
今回はそんなお話。
まず、今の22の装備で、力だけを好きなように変化させた場合
それぞれの防御力で秒間ダメ(ビット2.4発分)がどうなるかグラフにまとめました。
(5フレ、ビット8発、ダメージ補正(スキル+装備+油)600%、黄ダメ15)
防御0~10000の各グラフは白+黄ダメの合計で
黄ダメ(一律288)の直線から上の部分が白ダメということになります。
力は0でも(武器攻撃力)×(ダメージ補正)のダメージが出るので0にはなりません。
このグラフから読み取れるのは
力が上がれば上がるほどグラフの傾きが小さくなっていくこと
極端なのは防御0の赤いグラフ
力0→1000でのダメージの伸びと、力1000→3000での伸びが同程度です。
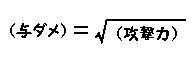
今回は与えるダメージの計算式に着目してみます。
攻撃力の式は省略しますが(力)×(ダメ補正)×(武器攻撃力)のようなものだと思ってください。
まず与ダメ計算の式ですが
こんな感じです。
都合のいいように変形して
このままだと攻撃力と防御力の2つの要素が絡むので
防御力のほうに仮定を与えます。
最初に防御0のケース
攻撃力がそのまま与えるダメージになります。
ここでGv補正のルートもってくると
そのまんまですね。
与ダメは攻撃力に対してルート関数になります。
横軸の値(攻撃力)が4倍、9倍、16倍となっても
縦軸(与ダメ)は2倍、3倍、4倍にしかならないわけです。
↑はテキトーですが
グラフは放物線を横にした形になります。
次に防御力>>攻撃力の場合
防御力が分母に残りますが、与ダメが攻撃力に対して2次関数になります。
(狩りでは硬いMOBに対して、力・ダメOPなどがダメージを大きく左右するってことですね。)
ルートを適用すると
1次関数になりました。
攻撃対象がありえないくらい硬いと仮定して
やっと力を振った分だけダメージが増えることになります。
防御10000のグラフを見ると、わりと直線に近づいているのがわかります。
で。現実的には防御力は0でも無限でもなく、その間の値をとるわけですが
どうやっても1次以下の関数(言葉合ってんのかな・・・)になるわけですから
ダメージは伸びづらくなり、グラフの傾きは小さくなっていくわけです。
途中だけど、続きはまた明日。
お気に入りの記事を「いいね!」で応援しよう
いいね!
0
シェアする
最終更新日 2007年08月29日 04時21分58秒
コメント(11)
|
コメントを書く
< 新しい記事
新着記事一覧(全113件)
過去の記事 >
ホーム
フォローする
過去の記事
新しい記事
新着記事
上に戻る
【毎日開催】
15記事にいいね!で1ポイント
10秒滞在
いいね!
--
/
--
次の日記を探す
おめでとうございます!
ミッションを達成しました。
広告を見てポイントを獲得する
※「ポイントを獲得する」ボタンを押すと広告が表示されます。
x
エラーにより、アクションを達成できませんでした。下記より再度ログインの上、改めてミッションに参加してください。
ログインする
x
X
© Rakuten Group, Inc.
X
共有
Facebook
Twitter
Google +
LinkedIn
Email
Design
a Mobile Site
スマートフォン版を閲覧
|
PC版を閲覧
人気ブログランキングへ
無料自動相互リンク
にほんブログ村 女磨き
LOHAS風なアイテム・グッズ
みんなが注目のトレンド情報とは・・・?
So-netトレンドブログ
Livedoor Blog a
Livedoor Blog b
Livedoor Blog c
楽天ブログ
JUGEMブログ
Excitブログ
Seesaaブログ
Seesaaブログ
Googleブログ
なにこれオシャレ?トレンドアイテム情報
みんなの通販市場
無料のオファーでコツコツ稼ぐ方法
無料オファーのアフィリエイトで稼げるASP
ホーム
Hsc
人気ブログランキングへ
その他
Share by: