めいてい君のブログ

めいてい君のブログ

PR

Calendar

Archives

Dec , 2025
Nov , 2025
Oct , 2025
Sep , 2025
Aug , 2025
Jul , 2025
Jun , 2025
May , 2025
Apr , 2025
Mar , 2025

Keyword Search

▼キーワード検索

Comments

めいてい君 @ 日本の純資産~過去最大の純資産で円建てでは世界最大 [東京 28日 ロイター] - 財務省は2…

Category

寄稿(宇治見、マドレーヌ、トキめき橋氏ほか)

(68)

自由が丘氏寄稿文

(189)

Tsunami氏寄稿、SCRAP記事、写経・感想など

(326)

政治・経済(国内統計etc.)

(725)

世界、国際比較(国際統計etc.)

(228)

生活全般

(129)

基本事情(各国)

(114)

アジア州

(257)

ヨーロッパ州

(293)

北米地区

(206)

中南米地区

(112)

オセアニア州

(104)

中東地区

(51)

アフリカ州

(126)

宇宙の不思議・開発etc.

(71)

気候変動など

(7)

津波・自然災害

(30)

自然の脅威、驚異etc.

(47)

資源・エネルギー(陸・海洋etc.)

(49)

発電・原発事故・放射能事故

(74)

金融(事件含む)

(128)

PC・家電

(229)

スポーツ・余暇・車

(264)

栄養・健康

(143)

病気・伝染病など

(191)

事故・災害

(102)

福祉・厚生・年金問題

(59)

公害

(15)

流通(商品)・廃棄関連

(17)

新技術

(30)

友人・知人・地縁等

(40)

土佐の高知

(63)

(49)

お墓・葬儀・戸籍

(24)

ガーデニング&DIY

(14)

TV番組

(15)

海外旅行

(6)

国防/テロなど

(41)

財政・税・電子証明など

(28)

自治体、地元、遺産など

(37)

店舗

(6)

公衆道徳/法律など

(26)

裁判/調停

(7)

宗教

(21)

ブログ

(31)

テンプレート(表形式etc.)

(3)

DVD収録など

(6)

ホームページ、ウエブ会議など

(48)

祝い事など

(14)

会社時代

(22)

学生時代

(7)

物語り

(43)

経済学研究

(26)

思考紀行

(73)

作業中マーク(終了次第削除)

(0)

洞察力

(1)
Jul 7, 2022
XML


PC画像






★​

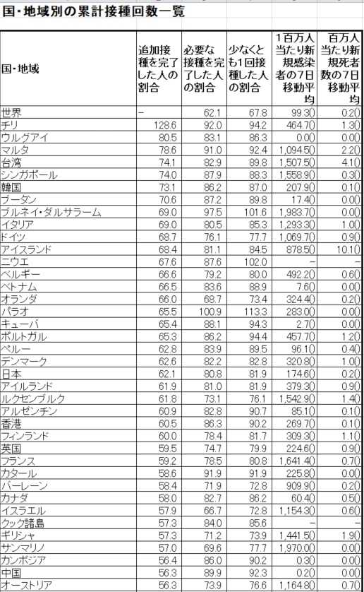
最近の新型コロナウイルスのワクチン接種と感染・死亡状況

1.日本の最近7日間の新型コロナウイルス新規感染者数/
     人口百万人→
accumulated for7days

  札幌医科大学附属病院
      https://web.sapmed.ac.jp/canmol/coronavirus/
                   japan.html?d=2&y=0

ワクチンの回数度は、BA.5には効果が少ないが
  症状の重症化はかなり抑えられるようである。



2.日本の
最近7日間の 新型コロナウイルスの新規死者数/
     人口百万人
→accumulated for7days

  
​​札幌医科大学附属病院

→感染力には効果が薄くても、重症化を防ぐ力はある




3.ワクチン接種と人口百万人当たりの新規感染者・新規死者
           の過去7日間移動平均→for7days 'average'

  https://vdata.nikkei.com/newsgraphics/
                   coronavirus-vaccine-status/

分かったこと
       ・ワクチン接種と感染者には強い相関がある
   ・しかしそれは死亡率の発生の制御にしか期待ができない
   ・特にBA.5というコロナ亜種には感染の抑制が効かない
   ・感染の抑制が効かないと言っても重症化し辛いので有効だ









4.NHK News Web

https://www3.nhk.or.jp/news/html/20220707/
    k10013705671000.html


      【詳しく】オミクロン株「BA.5」とは 国内でも広がり 最新状況







<参考>

https://news.yahoo.co.jp/byline/kutsunasatoshi/
    20220508-00295035



https://news.yahoo.co.jp/byline/kutsunasatoshi/
           20220705-00303906








PC画像の説明>



​​★





お気に入りの記事を「いいね!」で応援しよう

Last updated  Jul 7, 2022 07:30:53 PM
コメント(4) | コメントを書く
[世界、国際比較(国際統計etc.)] カテゴリの最新記事


【毎日開催】
15記事にいいね!で1ポイント
10秒滞在
いいね! -- / --
おめでとうございます!
ミッションを達成しました。
※「ポイントを獲得する」ボタンを押すと広告が表示されます。
x
X

© Rakuten Group, Inc.
X
Mobilize your Site
スマートフォン版を閲覧 | PC版を閲覧
Share by: