PR
Calendar
Keyword Search
Comments
Freepage List
Category
★


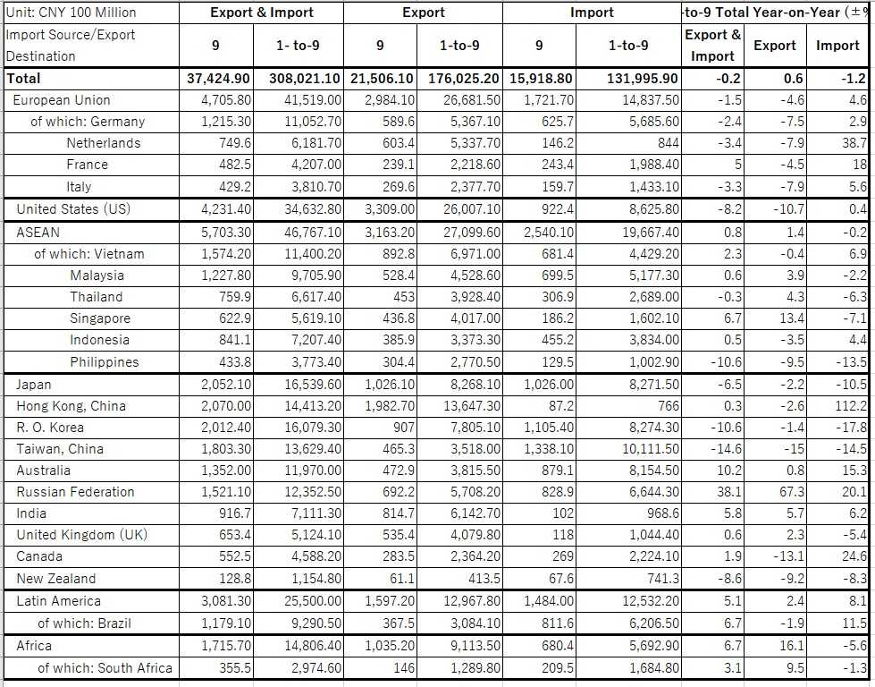
中国の貿易2022年と2023年1~9月
1.中国の貿易2022年
https://www.mof.go.jp/public_relations/
finance/202304/202304l.pdf
2.中国の貿易2023年1~9月
http://english.customs.gov.cn/Statics/
186bd2bd-a5b7-4c0e-8b1e-
a485833408b2.html
General Administration of Customs
People’s Republic of China
=GACC

全体の2023年1~9月の貿易は「▲0.2&」
の減少のなかで、
ASEAN(シェア 15.2%)は「前年同期比伸び率 0.8%」、
米国向け(11.2%)は「
▲8.2
%」に対して、
ロシア向け(5.0%)は「38.1%」であった。

中国海関総署
★
3.世界の貿易量の
WTOの
見通し
https://www.bloomberg.co.jp/news/
articles/2023-10-05/
S2245KT1UM0X01

世界の貿易量の1位は中国
2位は米国
3位はドイツ
輸入の1位は米国
2位は中国
3位はドイツ
ただし「中国+香港」を一体とみれば
貿易では圧倒的に中国総合が1位
https://ecodb.net/ranking/
tt_mexport.html
https://ecodb.net/ranking/
tt_mimport.html
から筆者が合成したものです。
★
3月6日の中国の軍拡・内需拡大について(… Mar 6, 2025
中国の最新版の貿易収支(元表示)の2024… Nov 7, 2024
Ⅰ.中国の2024年8月貿易統計 総括 貿易… Sep 13, 2024