きれいをめざして ーMEMO BOXー

きれいをめざして ーMEMO BOXー

PR

カレンダー

キーワードサーチ

▼キーワード検索

2020.12.11
XML
テーマ: ニュース(95864)
カテゴリ: 感染防止
10日に行われた、
アドバイザリーボード…

ほぼアップです




*****
第17回新型コロナウイルス感染症対策アドバイザリーボード

日時:令和2年 12 月 10 日(木)
18時00分~20時00分
場所:専用第 21 会議室(17 階)

議事次第



1. 現時点における感染状況等の分析・評価について

2. 接触確認アプリ(COCOA)の活用促進について

3. その他

配布資料
資料1
感染状況等に関するデータ






















資料2-1
押谷先生提出資料























































資料2-2
鈴木先生提出資料




資料2-3























資料2-4
前田先生提出資料







資料3
直近の医療提供体制と自治体の対応




資料4


直近の感染状況の評価等

<感染状況について>

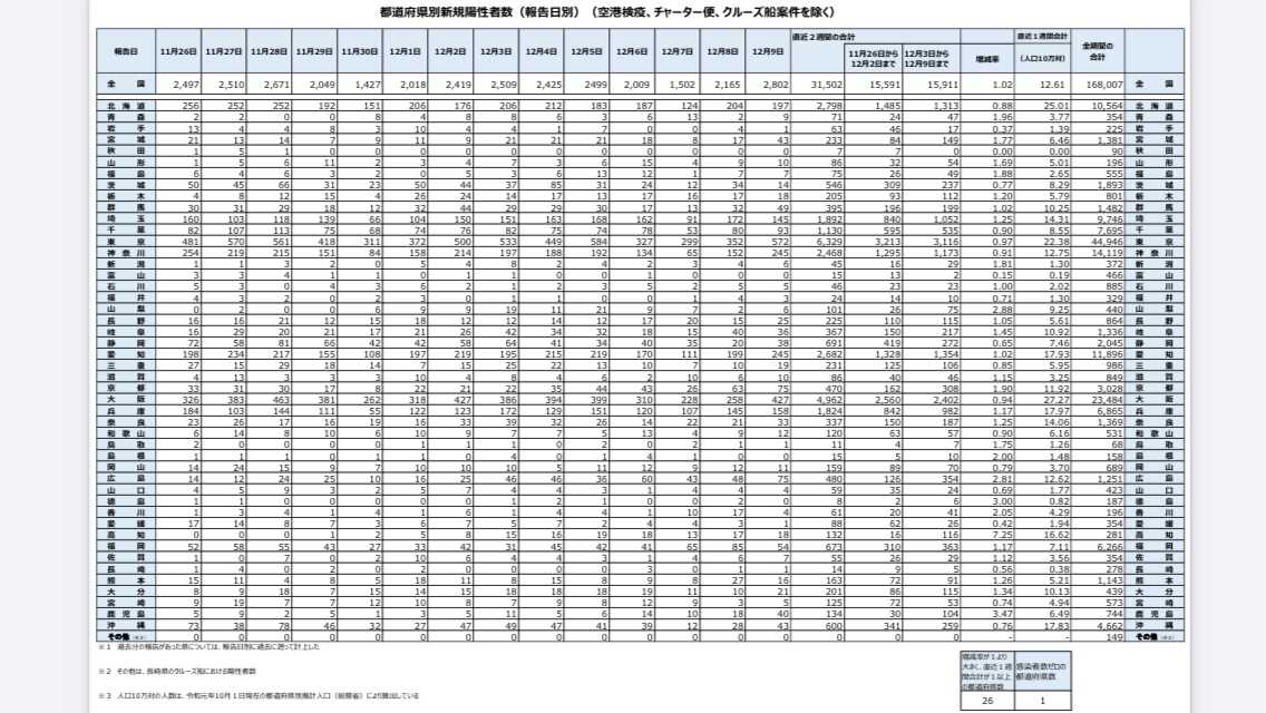
・ 新規感染者数は、過去最多の水準が続いており、引き続き最大限の警戒が必要な状況。特に、北海道や首都圏、関西圏、 中部圏を中心に連日多数の新規感染者数の発生が続いている。また、これまで大きな感染が見られなかった地域で感染 拡大の動きが見られている。気温の低下など感染増加の要因も強まると考えられる中、現在、感染拡大が生じていない地 域でも感染の拡大が生じうる可能性があり、警戒が必要。
実効再生産数:全国的には1をわずかに下回る水準となっている (11月22日時点)。北海道、東京、愛知などで1週間平均で1を超える水準 となっている(11月24日時点)。

・ 今般の感染拡大では新規感染者の規模が大きく、高齢者の絶対数も多くなっている。これに伴い、入院者数、重症者数の 増加が続いており、医療提供体制及び公衆衛生体制への負荷が増大している。また、死亡者数も増加している。重症者数 は、新規感染者の動きから遅れる傾向があり、重症者数の増加がしばらく続くおそれがあるが、既に多数の入院者・重症 者等への対応を続けている医療提供体制には影響が生じている。一部地域では他地域や自衛隊からの看護師の応援が 始まっている。また、例えば認知症や透析の必要がある方など入院調整に困難をきたす事例もあり、予定された手術や救 急の受入等の制限、病床を確保するための転院などの事例も見られている。各地で新型コロナの診療と通常の医療との 両立が困難な状況がみられることも続いている。

・ 感染者の検知が難しい、見えにくいクラスターが感染拡大の一因となっていることが考えられる。20−50才台の社会活動が 活発な世代で移動歴のある人による2次感染がその他の世代と比べ多くなっており、こうした世代では感染しても無症状あ るいは軽症のことが多いため、本人が意識しないまま感染拡大につながっていることも想定され、それが、医療機関や高 齢者施設等での感染に繋がっていると考えられる。

【感染拡大地域の動向】
1北海道 新規感染者数は減少傾向であるが、引き続き多くの感染者が発生しており、札幌市を中心に医療体制が厳しい状況。旭 川市でも院内感染が継続し、施設内感染も発生し、市中での感染もあり、厳しい状況が続いている。
2首都圏 東京都内全域で多くの感染者の発生が継続しており、減少傾向が見られず、医療体制は非常に厳しい状況。感染経路不 明割合は約6割。首都圏全体でも、埼玉、神奈川、千葉でも感染が継続しており、医療体制が厳しい状況。特に埼玉は減少傾向 が見られない。
3関西圏 大阪では大阪市を中心に新規感染者の発生が継続。重症者数の増加も継続し、医療体制の厳しさが増大。院内感染と 市中感染が継続。感染経路不明割合は約6割。兵庫でも感染が拡大。医療体制が厳しい状況。京都では更なる増加傾向が見 られる。
4中部圏 名古屋市とその周辺で感染が拡大。感染経路不明割合は約5割。医療機関での対応も厳しさが増大。また、静岡でも、接 待を伴う飲食店等でクラスターが発生し、感染が継続。岐阜でも感染が拡大。
5沖縄県 接待を伴う飲食店などでクラスターが発生し、感染が継続。感染経路不明割合は約5割。医療体制が厳しくなりつつある。


<今後の対応について>

• 感染が拡大している地域では、医療資源を重症化するリスクのある者等に重点化していくために、医師が入院の必要がないと判断した無症状病原体保有者や軽症者については、介護が必要な高齢者も含めて、宿泊療養及び自宅療養の体制を整備することも検討が必要である。また、自治体のニーズに応じて、保健所への保健師等の派遣や自治体間の入院調整支援、医療体制が逼迫している地域への看護師などの医療スタッフ派遣、特に重症者が多くなる地域に対して関係学会と連携した専門医派遣等の支援を行うことが必要。

• 一方、これまで大きな感染が見られなかった地域でも感染の発生が見られており、特に比較的医療提供体制が弱い地域ではその体制が急速に悪化し、感染が急拡大する可能性があり、また、年末年始に感染が増加することで、医療提供 体制全体の危機を招く可能性もある。このため、現時点では大きな感染が見られない地域でも、どこにでも急速な感染 拡大が起こりうるという危機感を持って、宿泊療養施設を含め医療提供体制の準備・確保等を直ちに進める必要がある。

• 感染が拡大した中で年末年始を迎えることは、厳しい医療提供体制の中で、更なる感染拡大にも繋がる可能性もあり、 都道府県知事のリーダーシップの下、感染状況を踏まえた適切な対策の速やかな実施や対策の準備を進めて行くこと が求められる。また、市民の皆様にも新年会や忘年会、帰省などで感染拡大を起こさず、静かな年末年始を過ごしていただくなどの協力が必要であり、そのためのメッセージを発信していくことが求められる。

• 併せて、20−50才台の社会活動が活発な世代で移動歴のある人による2次感染がその他の世代と比べ多くなっており、 特に若年層や働き盛りの世代などに対し様々なチャネルを活用することで、移動や飲食の場面も含むマスクの徹底など 実際の行動変容につなげることが必要。

• これまで分科会から政府への提言を踏まえた対策が国と自治体の連携の下、実行されているが、早期に取り組んだ地域で一定の効果をあげているものの、全体として必ずしも新規感染者数を減少させることに成功しているとは言い難い。 感染拡大を抑止できない状況が続けば、新型コロナウイルス感染症対策を含めた公衆衛生体制や医療提供体制全体 の危機を招く可能性がある。医療提供体制が相対的に弱くなる年末年始が近づいており、緊張感を持って対応すること が求められる。12月中旬を目途に感染拡大が沈静化に向かうかどうかを評価し、今後の更なる施策について早急に検 討する必要がある。









資料5
接触確認アプリ(COCOA)の活用促進について









出典:厚生労働省H P
*****


フィカス ベンジャミン バロック 6号鉢 送料無料 観葉植物


アドバイザリーボードの
資料を踏まえて…


11日の分科会です


さて、


政府への提言、

対応は、いかに…⁈



在庫あり ワンちゃんマスク


誰もが…

注目しています
( ̄^ ̄)ゞ


では…




お歳暮 ギフト プレゼント 干物セット 【送料無料】 干物 全7種12尾 本格干物 1kg前後 プレゼント 海鮮ギフト






お気に入りの記事を「いいね!」で応援しよう

最終更新日  2020.12.11 23:55:54
コメント(0) | コメントを書く


【毎日開催】
15記事にいいね!で1ポイント
10秒滞在
いいね! -- / --
おめでとうございます!
ミッションを達成しました。
※「ポイントを獲得する」ボタンを押すと広告が表示されます。
x
X

© Rakuten Group, Inc.
X

Mobilize your Site
スマートフォン版を閲覧 | PC版を閲覧
Share by: