全8件 (8件中 1-8件目)
1

そろばん教室 横浜市神奈川区 藤沢市そろばん教室 横浜市緑区 藤沢市本鵠沼のそろばん教室七島教室 横浜市神奈川区七島町123 七島交差点脇東本郷教室 横浜市緑区東本郷4-13-31 本郷神社前鶴屋町教室 横浜市神奈川区鶴屋町3-28-3 202藤沢教室 藤沢市本鵠沼3-12-30 302ベトナム料理店上=教室のfacebook 教室のHPはこちら=●日本珠算連盟正会員(会員No.41800240)●フラッシュ暗算検定施行塾2023年 バーコードの計算について○七島教室月曜・水曜・金曜 8時30分より9時30分○藤沢教室練習日の2時30分から3時20分○東本郷教室午前練習がある日の火曜・金曜の10時50分から30分上記の時間、バーコードを必死にやる時間にしました。(急遽時間を作りました。)七島の時間は、zoomによる読み上げ暗算の時間ですが、教室を開放します。先生は、zoomで読み上げ暗算の授業を行っていますが、バーコードを頑張る人は、通常練習が始まる9時30分まで、教室を使用することができます。(フラッシュ暗算練習やプリント練習でもかまいません。練習時間にプラスされます!)写真は、タイトルとは関係ないのですが、あまりにも鮮やかな空色だったので、写真を撮りました。空を見上げる、夕日を見て感動する・・・子どもたちはそんな感覚を持っているのでしょうか?〇新年中さんから受け付けます! お子様の将来が、大きく変わります!入塾に関することは・・・ soroan123@yahoo.co.jp まで
2023年07月26日
コメント(0)

そろばん教室 横浜市神奈川区 藤沢市そろばん教室 横浜市緑区 藤沢市本鵠沼のそろばん教室七島教室 横浜市神奈川区七島町123 七島交差点脇東本郷教室 横浜市緑区東本郷4-13-31 本郷神社前鶴屋町教室 横浜市神奈川区鶴屋町3-28-3 202藤沢教室 藤沢市本鵠沼3-12-30 302ベトナム料理店上=教室のfacebook 教室のHPはこちら=●日本珠算連盟正会員(会員No.41800240)●フラッシュ暗算検定施行塾2023年そろばんグランプリ終了小学生の藤原さくらは、予選満点で準決勝に進むものの、決勝には手が届きませんでした。青野 彩夏・牧田 和華ともに、決勝まであと1問題だっただけに、先生は責任を感じています。(先生の大会に臨む気持ちに足りなかったところがあるのかもしれません)神戸で行われるこの全国大会は、県予選を通過して参加することになります。いよいよ夏練習が始まります!夏練習を頑張ると・(夏練習時間の多い生徒)日の出桟橋から水上バス(船)に乗り浅草へはなやしきで遊んだ後、仲見世通りで食べ歩き、一生の思い出になると思います。バーコード計算が始まりました!ルールは、教室で説明しますので、できるだけ早く教室の練習に参加してください。(バーコードを忘れずに!)〇新年中さんから受け付けます! お子様の将来が、大きく変わります!入塾に関することは・・・ soroan123@yahoo.co.jp まで
2023年07月24日
コメント(0)

そろばん教室 横浜市神奈川区 藤沢市そろばん教室 横浜市緑区 藤沢市本鵠沼のそろばん教室七島教室 横浜市神奈川区七島町123 七島交差点脇東本郷教室 横浜市緑区東本郷4-13-31 本郷神社前鶴屋町教室 横浜市神奈川区鶴屋町3-28-3 202藤沢教室 藤沢市本鵠沼3-12-30 302ベトナム料理店上=教室のfacebook 教室のHPはこちら=●日本珠算連盟正会員(会員No.41800240)●フラッシュ暗算検定施行塾2023年 バーコードカレンダー編バーコードに印刷されている数字を使い、計算式を作ります。1月1日(101)から12月31日(1231)まで、365枚を貼ることができれば、10月に浅草散策に参加できます!(このブログでは、7月と8月だけですが‥)日の出桟橋から水上バス(船)に乗り浅草へはなやしきで遊んだ後、仲見世通りで食べ歩き、一生の思い出になると思います。ルールは、教室で説明しますので、できるだけ早く教室の練習に参加してください。(バーコードを忘れずに!)〇新年中さんから受け付けます! お子様の将来が、大きく変わります!入塾に関することは・・・ soroan123@yahoo.co.jp まで
2023年07月22日
コメント(0)

そろばん教室 横浜市神奈川区 藤沢市そろばん教室 横浜市緑区 藤沢市本鵠沼のそろばん教室七島教室 横浜市神奈川区七島町123 七島交差点脇東本郷教室 横浜市緑区東本郷4-13-31 本郷神社前鶴屋町教室 横浜市神奈川区鶴屋町3-28-3 202藤沢教室 藤沢市本鵠沼3-12-30 302ベトナム料理店上=教室のfacebook 教室のHPはこちら=●日本珠算連盟正会員(会員No.41800240)●フラッシュ暗算検定施行塾 第415回 全国珠算教育連盟 暗算段位10段『原パパ』が、暗算10段に合格しました!小学校3年の9月に当教室に入塾、中学2年生で退塾。5年ほど前、息子の碧駿(あおは)くんの入塾とともに練習を再開しました。碧駿(あおは)くんも、県の審査では10段でしたが、本部審査の結果10段には認定されませんでした。(不明瞭な字があることにより)今回、このブログで紹介させていただいた大きな理由は・・・10段合格者に対して本部からアンケートの提出の書類が来ます。その中に『練習で意識していること、工夫していること』という問いがあります。原パパの回答は『上手になりたいと思いながら毎日練習しています。数字を綺麗に書く為に、シャーペンの持ち方を変えました』とありました。前回、10段に認定されなかったことを無駄にせず『綺麗な字』を書く為に、シャーペンの持ち方を変える・・・なかなかできないことだと思います。その工夫・努力は賞賛に値すると判断しました。現在、現役で暗算9段の生徒は、15名くらいでしょうか。先生が『この数字は、このような点で、審査に引っ掛かりそうだから、こんな感じに書けないか?』と指導することがあります。10段は最高峰の段位です。『合格させたい!』という気持ちからの一言生徒には伝わっているとは思いますが・・・暗算10段31名を輩出している教室の指導力は、他の教室とは違います!〇新年中さんから受け付けます! お子様の将来が、大きく変わります!入塾に関することは・・・ soroan123@yahoo.co.jp まで
2023年07月12日
コメント(2)

そろばん教室 横浜市神奈川区 藤沢市そろばん教室 横浜市緑区 藤沢市本鵠沼のそろばん教室七島教室 横浜市神奈川区七島町123 七島交差点脇東本郷教室 横浜市緑区東本郷4-13-31 本郷神社前鶴屋町教室 横浜市神奈川区鶴屋町3-28-3 202藤沢教室 藤沢市本鵠沼3-12-30 302ベトナム料理店上=教室のfacebook 教室のHPはこちら=●日本珠算連盟正会員(会員No.41800240)●フラッシュ暗算検定施行塾七夕そろばんワールド 7月9日開催オンラインの大会なので、成績は後日発表になります。団体の成績は昨年より上がっているで、結果を楽しみにしています。(昨年は団体総合3位)オンラインの良いところは、各教室で行えることで、圧倒的に費用を抑えることができるところから、参加しやすいところにあります。今回は、40名以上が参加しました。当教室の参加基準は・・・小学2年生~4年生 暗算4段~10段小学5・6年生 暗算6段~10段中学生以上 暗算8段~10段暗算10段31名を輩出している教室の指導力は、他の教室とは違います!(暫定10段1名 本部審査中)〇新年中さんから受け付けます! お子様の将来が、大きく変わります!入塾に関することは・・・ soroan123@yahoo.co.jp まで
2023年07月10日
コメント(0)
そろばん教室 横浜市神奈川区 藤沢市そろばん教室 横浜市緑区 藤沢市本鵠沼のそろばん教室七島教室 横浜市神奈川区七島町123 七島交差点脇東本郷教室 横浜市緑区東本郷4-13-31 本郷神社前鶴屋町教室 横浜市神奈川区鶴屋町3-28-3 202藤沢教室 藤沢市本鵠沼3-12-30 302ベトナム料理店上=教室のfacebook 教室のHPはこちら=●日本珠算連盟正会員(会員No.41800240)●フラッシュ暗算検定施行塾 七夕そろばんワールド大会について13時開始 17時終了予定です。全国から競合塾が参加します。当教室からは、段位の選手40人以上が参加します!ちなみに、昨年は団体総合3位でした。明日は、朝8時から土日クラスの授業があります。大会に参加する人は、8時から練習ができますが、無理に早い時間に来る必要はありません。ただ、開始時間ギリギリにならないようにしてください。〇新年中さんから受け付けます! お子様の将来が、大きく変わります!入塾に関することは・・・ soroan123@yahoo.co.jp まで
2023年07月08日
コメント(0)

そろばん教室 横浜市神奈川区 藤沢市そろばん教室 横浜市緑区 藤沢市本鵠沼のそろばん教室七島教室 横浜市神奈川区七島町123 七島交差点脇東本郷教室 横浜市緑区東本郷4-13-31 本郷神社前鶴屋町教室 横浜市神奈川区鶴屋町3-28-3 202藤沢教室 藤沢市本鵠沼3-12-30 302ベトナム料理店上=教室のfacebook 教室のHPはこちら=●日本珠算連盟正会員(会員No.41800240)●フラッシュ暗算検定施行塾 夏練習時間について『○が付いている日』が、その教室の通常時間の練習日です。時間が入っている場合は、その時間での練習になります。七島本部教室は、ほぼ毎日東本郷教室・藤沢教室は、週5日程度の練習を組んでみました。夏練習の時間数が多い人は、10月に浅草散策が4年ぶりに復活します!水上バスで浅草に入り、花やしきや、仲見世通りの食べ歩きをします。時間に余裕のある『夏』ですから、できるだけ練習に参加してください。(ただし、レベルにより練習時間の上限があります。)暗算10段31名を輩出している教室の指導力は、他の教室とは違います!(暫定10段1名 本部審査中)〇新年中さんから受け付けます! お子様の将来が、大きく変わります!入塾に関することは・・・ soroan123@yahoo.co.jp まで
2023年07月06日
コメント(0)

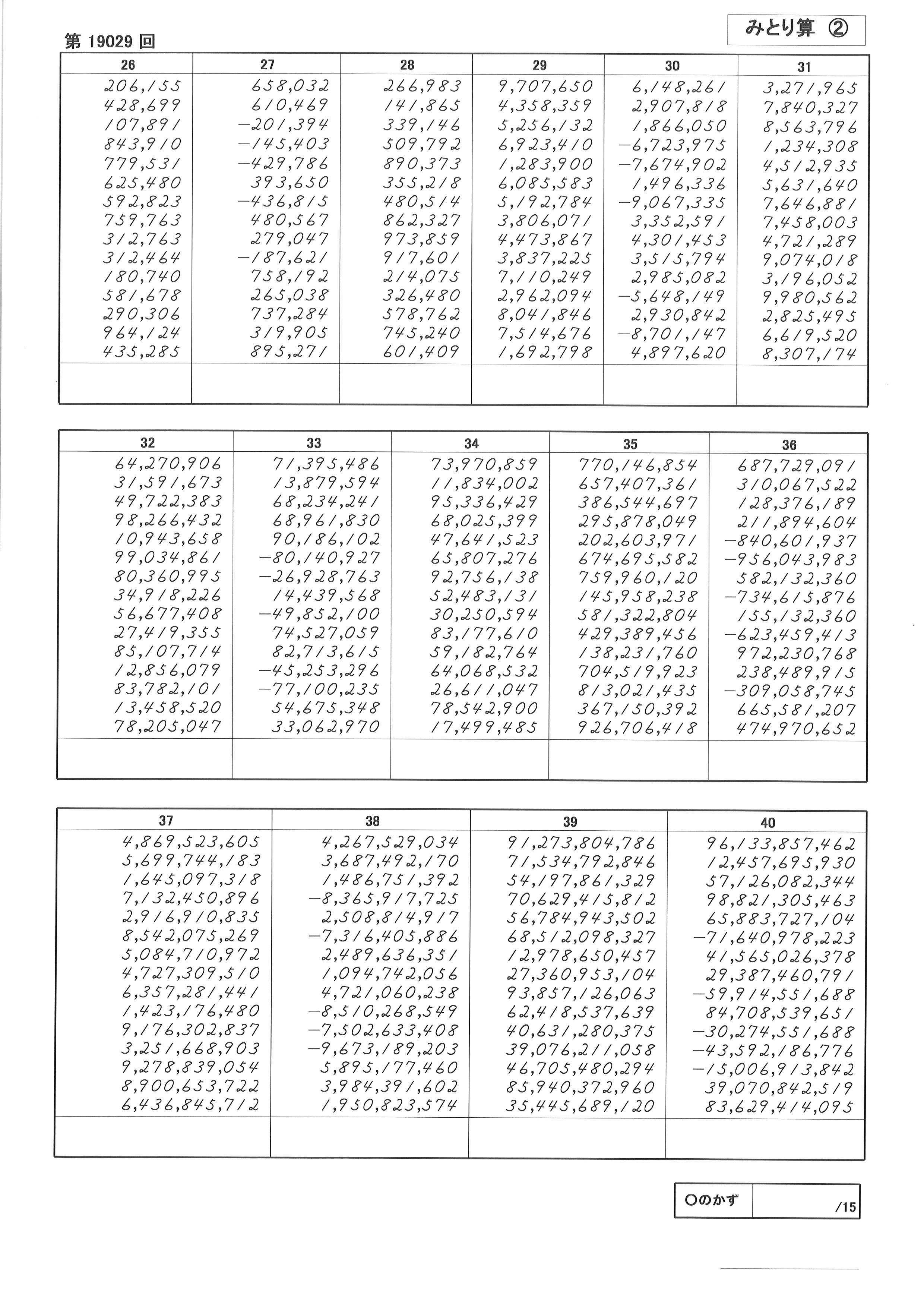
そろばん教室 横浜市神奈川区 藤沢市そろばん教室 横浜市緑区 藤沢市本鵠沼のそろばん教室七島教室 横浜市神奈川区七島町123 七島交差点脇東本郷教室 横浜市緑区東本郷4-13-31 本郷神社前鶴屋町教室 横浜市神奈川区鶴屋町3-28-3 202藤沢教室 藤沢市本鵠沼3-12-30 302ベトナム料理店上=教室のfacebook 教室のHPはこちら=●日本珠算連盟正会員(会員No.41800240)●フラッシュ暗算検定施行塾七夕そろばんワールド 7月9日開催大会練習 7月2日(日) 七島教室午後1時~午後5時(開始・終了時間は任意)※土日クラスが8時からのため、午後の時 間に参加できない人は、午前に参加して ください。 決勝問題・読上種目の練習もします!みとり算の問題(後半)を掲載してみました。当教室の多くの選手は暗算で行います!今回は、当教室から40名以上が参加します。当教室の参加基準は・・・小学2年生~4年生 暗算4段~10段小学5・6年生 暗算6段~10段中学生以上 暗算8段~10段〇昨年は、団体総合3位でした。 2位とは僅差だったので、今年は2位以上 をめざしたいと思っています。暗算10段31名を輩出している教室の指導力は、他の教室とは違います!(暫定10段1名 本部審査中)〇新年中さんから受け付けます! お子様の将来が、大きく変わります!入塾に関することは・・・ soroan123@yahoo.co.jp まで
2023年07月01日
コメント(0)
全8件 (8件中 1-8件目)
1

![]()