歌 と こころ と 心 の さんぽ

歌 と こころ と 心 の さんぽ

2016.06.15
XML
カテゴリ: 気まぐれ短歌
松かさ

♪ フィナボッチなど知らざりて松笠はただ厳然と美しくあり







 何のためにこの棘が付いているのか?しげしげと眺めながら持ち帰った。





 写真を撮って、ふと思い出した。この鱗片が螺旋状に並んでいることに秘密があることを。

 1,1,2,3,5,8,13,21,34,55,89,144,233,・・・・・・
 はじめの2つの1を除いたこの数列のそれぞれの数は,その1 つ前の数と2 つ前の数との和になっている。 2=1+1,3=1+2,5=2+3,8=3+5,13=5+8,21=8+13 ・・・・・・
 このような数列をフィボナッチ数列というんだったなぁ。


フィボナッチ数列3-2



フィボナッチ数列3-bフィボナッチ数列3-a

 黄色・緑色・赤のらせん毎に、それぞれ34本、55本、89本となっていてこの螺旋の本数はフィボナッチ数列に含まれているんだねぇ。





 多くの離弁花の花弁数も、例えば、サクラの花弁は5枚、コスモスは8枚、マーガレットは21枚というようにフィボナッチ数列の法則に沿っていたりする。

 互生タイプの枝の出方にもフィボナッチ数列が現れる。茎を2周する間に5本の枝が出ていて、これを2/5葉序といい、2も5もフィボナッチ数列。


ハンゴンソウ


 枝の出る順番は左回りの株と右回りの株がほぼ1:1で出現するらしく、これは遺伝的に決まっているのではなく、発生の時点で偶然に決まるんだそうです。

 また、この世のほとんどの木が、フィボナッチ数列と同じルールで1本、1本、2本、3本、5本、8本、13本……と枝分かれしていくのだそうです。

フィボナッチ数列4



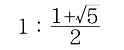
 フィボナッチ数列は黄金比と密接な関係があり、自然界はこの神秘の法則によって美しく形作られている。



 そして、辺の比に黄金比をもつ黄金長方形は、古来より世界的に有名な建築物や芸術作品に応用されている。

 ピラミッド(エジプト)…ピラミッドの側面にある三角形の高さと底辺の半分の長さの比が黄金比。
 パルテノン神殿(アテネ B・C400)…正面から見た縦、横の比がほぼ黄金比になっている。
 ミロのヴィーナス(メロス島出土 B・C200)…身体の様々な部分に黄金比が応用されていて、ヴィーナスの頭のてっぺんからおへそまでの長さと、おへそからつま先までの長さの比は黄金比になっている。


 自然界が、神秘を湛えた如何に素晴らしい世界なのか。人間はそれを後追いしているに過ぎない。
 人間なんて、たかだか80年前後生きて、大した進歩もなく何千年前と大して変わらない生を営んでいる、宇宙の諸々の現象の中のたった一つの存在に過ぎない。

 松ぼっくりの棘の意味は、結局分からないままだ。




◆2006年5月8日よりスタートした「日歌」が千首を超えたのを機に、「游歌」とタイトルを変えて、2009年2月中旬より再スタートしました。
◆2011年1月2日からは、楽歌「TNK31」と改題してスタートすることにしました。
◆2014年10月23日から「一日一首」と改題しました。
◆2016年5月8日より「気まぐれ短歌」と改題しました。

「ジグソーパズル」  自作短歌百選(2006年5月~2009年2月)

短歌集 「ミソヒトモジ症候群」 円居短歌会第四歌集2012年12月発行

「手軽で簡単絞り染め」






お気に入りの記事を「いいね!」で応援しよう

最終更新日  2016.06.15 09:52:04
コメント(0) | コメントを書く
[気まぐれ短歌] カテゴリの最新記事


【毎日開催】
15記事にいいね!で1ポイント
10秒滞在
いいね! -- / --
おめでとうございます!
ミッションを達成しました。
※「ポイントを獲得する」ボタンを押すと広告が表示されます。
x
X

PR

プロフィール

sunkyu

sunkyu

カレンダー

キーワードサーチ

▼キーワード検索

サイド自由欄

◆2006年5月8日よりスタートした「日歌」が千首を超えたのを機に、「游歌」とタイトルを変えて、2009年2月中旬より再スタートしました。
◆2011年1月2日からは、楽歌「TNK31」と改題しました。
◆2014年10月23日から「一日一首」と改題しました。
◆2016年5月8日より「気まぐれ短歌」と改題しました。
◆2017年10月10日より つれずれにつづる「みそひともじ」と心のさんぽに改題しました。
◆2019年6月6日より 「歌とこころと心のさんぽ」に改題しました。
「ジグソーパズル」  自作短歌百選(2006年5月~2009年2月)

「アーカイブ」
◎ Ⅰ  短歌
◎ Ⅱ  知っていて損はない話  健康と生活編
◎ Ⅲ 興味深いこと
◎ Ⅳ 興味深いこと パート2
◎ Ⅴ  自然界 地球 異常気象など

コメント新着

sunkyu @ Re[1]:〇☆〇台所で染色作業(10/26) やすじ2004さんへ  いつも訪問ありがとう…

© Rakuten Group, Inc.
X
Mobilize your Site
スマートフォン版を閲覧 | PC版を閲覧
Share by: