Green

Green

PR

プロフィール

teaju

teaju

カレンダー

2007年01月11日
XML
テーマ: REDSTONE(3546)
カテゴリ: Red Stone
先日の「ファイアーエンチャント」による実ダメージと計算機の結果の不一致の謎を詳しく調べるべく、再びデータ採取をしてきました。

2007011100

スキルLvは55から61まで(60は出来ませんでしたが^^;)で、知識は1095で固定。

黄色く塗りつぶしたところが与えたダメージです。

モンスター名が適当になっていますがお察しくださいませw

2007011101
元データを加工したものです。
スキルLvを変える毎のダメージ上昇が一定であることを利用して、元データのダメージの小数点以下の値を推測し、コレを元にモンスターの火抵抗を求めてみました。

赤く塗りつぶしたところが推測抵抗値です。

・・・

よく見るとお分かりになるかと思いますが、この抵抗値

表記ダメージが上がるにつれて微妙に上昇しています

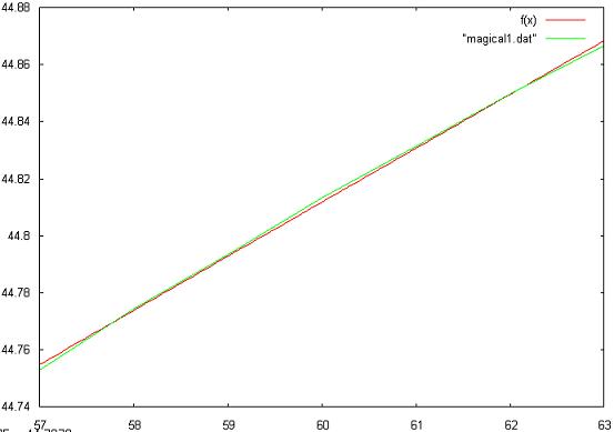
規則性を探すためにフィッティングをしてみました。

2007011102
緑が推測抵抗値を直線で結んだものです。
赤は9.83487*log(0.120549*x+60.0167)+3.33522です。

微妙にずれていますね。
対数関数ではないのかもしれません。

ん゛ー…

どうしたものか…orz

ちなみに、「基礎ダメージが上がるにつれて~」ではなく「 表記ダメージが上がるにつれて~ 」と書いたのは、先日のデータから推測した抵抗値と今回得られた推測抵抗値が異なっていたからです。

先日のデータでは、火抵抗が
蟹… 8.3 8.7 %
犬… 13.7 %~ 14.1 %
エルフ… 14.6 15.0 %
狸… 44.3 %~ 44.7 %
となりました。

データを得る際に変えたのはスキルLvのみですので、基礎ダメージ依存かと思ったら…

今書いているときに横軸をスキルLvではなくて表記ダメージに合わせてフィッティングするべきだと気づきましたorz


と、とりあえずやり直しですね…

あとスキルLvを固定し、知識を変えた場合のデータも採取した方がよさそうです。



昨日のカニンガムさんのコメントにあった誤差ですが、
連続でダメージを与えるスキルでは、その誤差が発生することを確認しました。

2007011103
単体攻撃スキルでは 336 で固定でした。

2007011104

白ダメ1です。

俺YOEEEEEEEEEEEEEEE!!!

見ての通り、336以外にも403 423 544のダメージが確認できますね。
犬には362 381 400 438のダメージが見えます。

この変化が現れる理由は、気が向いたら考えてみることにします。





お気に入りの記事を「いいね!」で応援しよう

最終更新日  2007年01月11日 21時34分01秒
コメント(5) | コメントを書く
[Red Stone] カテゴリの最新記事


【毎日開催】
15記事にいいね!で1ポイント
10秒滞在
いいね! -- / --
おめでとうございます!
ミッションを達成しました。
※「ポイントを獲得する」ボタンを押すと広告が表示されます。
x
X

コメント新着

通りすがり@ Re:赤石とリアル(03/15) ドラツイ戦士のブログから来ました^^
FAT_DRAGON@ Re:長さ(07/11) はじめまして。突然のコメントご容赦くだ…
てち@ ちょっと疑問が どもさんの疑問に続いて ちょっとわから…
ども@ こんちは まだ復帰してるのですか~・・・? ちょ…
修太郎@ 滝で鉄砲水なのだ グラフィック・カードを刺し直すと直る事…

キーワードサーチ

▼キーワード検索


© Rakuten Group, Inc.
X
Mobilize your Site
スマートフォン版を閲覧 | PC版を閲覧
Share by: