PR
Calendar
Keyword Search
Comments
Freepage List
Category
★
https://www.youtube.com/watch?v=W8iMr-LP6PI
→ 台湾企業
を 千葉県へ
是非是非
2023年7~9月期(=Q3)の実質四半期GDP
https://www.esri.cao.go.jp/jp/sna/data/
data_list/sokuhou/gaiyou/pdf/
main_1.pdf
令和5年11月15日
内閣府 経済社会総合研究所
国民経済計算部
1.2023年Q3の実質 四半期
GDP
(季節調整済み)

2.2023年Q3の実質四半期GDP
(原系列)

3.2023年Q3の名目四半期GDP
(季節調整済み)

4.2023年Q3の名目四半期GDP
(原系列)








5.実質年GDP

6.名目年GDP


★
7.四半期GDPの実数
(単位:10億円)
(実質)
2023/Q3
136.9兆円
2022/Q3
135.2兆円
前年同期比伸び率
1.3%


(名目)
2023/Q3
143.5兆円
2022/Q3
134.9兆円
前年同期比
伸び率
6.4%


(deflator)
2023/Q3
104.85
2022/Q3
99.77
前年同期比
伸び率
5.1%
★
報道解説>
Reuters
2023/11/15 10:54
実質GDP7─9月期は3期ぶりマイナス成長、
賃金低迷が消費を圧迫
[東京 15日 ロイター] -
内閣府が15日発表した2023年7─9月期の
実質国内総生産(GDP)速報値は前期比
0.5%減、年率換算で2.1%減だった。
マイナス成長は3四半期ぶり。
賃金の伸びが物価上昇に追いついていないことが
消費を圧迫するなど、内需が力強さを欠いた。
新藤義孝経済財政相は談話で、今後は海外景気の
下振れによる日本経済への影響などにも注意が
必要と指摘した。
ロイターがまとめた民間調査機関17社の予測
中央値は前期比0.1%減、年率0.6%減だった。
GDPの過半を占める個人消費は前期比0.04%
減で、2四半期連続でマイナスとなった。
経済正常化の進展で外食がプラスに寄与したものの、
自動車や食品などがマイナスに影響したという。
個人消費とともに内需の柱となる企業の設備投資は
同0.6%減と、2四半期連続マイナス。
半導体製造装置などへの支出が減少した。
民間住宅投資は0.1%減で5四半期ぶりのマイナス。
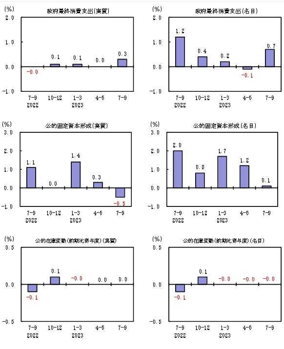
公共投資は0.5%減で6四半期ぶりマイナスとなった。
★
日本経済新聞
2023/11/15 14:30
https://www.nikkei.com/article/DGXZ-
QOUA140PT0U3A111C2000000/
(実質)GDP、7~9月年率2.1%減
3四半期ぶりマイナス成長

<年率換算%>



★



★
日銀短観~景気悪化へ→今日は April FooL… Apr 1, 2025
3月31日は何の日❓→三井銀行の創業記念日 Mar 31, 2025
防衛予算案 最大の8.7兆円 トランプ政… Mar 27, 2025