PR
Keyword Search
Comments
New!
隠居人はせじぃさん
Gママさん
noahnoahnoahさんCalendar

最小のもの以外は、 (30n + 11, 30n + 13, 30n + 17, 30n + 19)
( n
は 0
以上の整数)の
形になる。したがって最小のものを除き、 四つ子素数の一の位の数は小さい順に (1, 3, 7, 9)
となり、 十の位以上の桁の数字は全て共通
となる。
そんなに頻繁には存在せず、 10万以下では38組
しかありません。
また、双子素数と同じように、 【四つ子素数】が無数に存在するのかどうかは2016年9月現在
未解決
である。
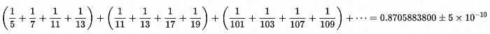
【四つ子素数】の逆数和は収束

である。2019年2月現在発見されている四つ子素数 (p, p + 2, p + 6, p + 8)
で最大の p
は、
10132桁
の 667674063382677 × (2^33608)
− 1
である.。
片瀬西海岸からの夕景-1 2025.11.21
六つの村の睦み合い・藤沢市六会地区の歴… 2025.11.15
六つの村の睦み合い・藤沢市六会地区の歴… 2025.11.14