全31件 (31件中 1-31件目)
1
![]()
大阪に帰省して(目的は大学のオープンキャンパスめぐり)早速、同志社大学のオープンキャンパスに行ってみました。田辺のほう。キレイなキャンパスです。つか、デカい。どこを見ても絵になる。大学と言われなければわからないかも。最近は大学祭並みに気合の入ったオープンキャンパスも珍しくないですが、簡単な説明と構内ツアーだけでした。まあ、生徒のほうから集まってくるってことなんですかね。同志社の独立 ミッション・スクールからの脱皮 / 原タイトル:The Doshisha 1875-1919:the Indigenization of an Institution[本/雑誌] (単行本・ムック) / ポール・グリーシー/著 北垣宗治/訳同志社前の駅近辺は、昔からあまり変わっておらず、相変わらずやや寂しい感じです。とはいえ、この一帯は昔と比べてすごく開発が進んだように思います。なにげに近鉄とJRの祝園駅がつながっていてびっくり。ちなみに祝園は「ほうその」と読みますが、するってーと、祝砲は「ほうほう」だねぇほうほう。なにか?ではごきげんよう。
2022.07.31
コメント(0)
![]()
2年半ぶりに実家に帰省しました。ついでに、実家近辺の大学のオープンキャンパスに参加するという用事もあります(こっちがメイン)。年末年始やGWと違い、渋滞をさけて夜中にクルマを走らせる必要はないので、真昼間に移動することにしました。いつもなら夜中に訪れるSAも、昼間ならお店が開いていて、にぎやか。駒ヶ岳SAのアンパン食ったり多賀SAでネギラーメン食ったり夕焼けキレイだったりガンダムがあったりコロナ第7波とか言われている割には、旅行客を満載した高速バスがバンバン来てました。もうみんなあんまり関心ないんじゃないかな・・・ワクチンも打ったし、それでも伝染るときは伝染ると腹くくっているんじゃないかな。【送料無料】高速道路SA・PA攻略ガイド 首都圏+静岡・長野 2015−2016年最新版/旅行100km以上高速道路を走るのも本当に久しぶり。のんびり走って無事実家に到着。昼間走ると疲労感が少ないですね。久しぶりの帰省なので、実家近辺の道が分からなくなってて(風景も変わってるし)、ちょっと迷った。とりあえず、親が元気でよかった。あと何回会えるだろうか・・・親孝行しておかねば【ふるさと納税】見守り親孝行整体二回体験版 67000円ではごきげんよう。
2022.07.30
コメント(0)
![]()
高校生になる娘のもとには、このところ毎日のようにラブレターが届きます。大学案内っていうラブレターが。頼んでもない大学から山のように送られてきます。これで一日分です。こんなのが連日届きます。まあ、これはこれで比較すると面白いのですが・・・一体どこから個人情報が渡っているんでしょうね。ちょっとづつ名前を変えて資料請求したら、どのルートでどのように広まっているか、業界系統図が書けるかもしれないですね。なんか面白そうではある。動物のお医者さんで、レポートの間違いから学生の友好関係の系統図が書けるって話がありましたが、そんな感じかね。動物のお医者さん 9【電子書籍】[ 佐々木倫子 ]【ポイント10倍‼】今治系統図バスタオル ユニーク おもしろグッズ ThreeB スリービーオリジナルアイテムではごきげんよう。
2022.07.29
コメント(0)
![]()
原田のラスクで、ワンピース柄のものがありました。箱とパッケージがワンピースというだけで、中身はいつものラスクです。まあ美味しいけど。どうせならセムラ味にして欲しいところです。https://www.nhk.jp/p/kamado/ts/VNWVWYKX3Q/episode/te/VNQ3JK54XM/いやさ、セムラなんて食ったことがないけどさ・・・そもそもスウェーデンにお菓子のイメージがあまりないよねLeksandsオリジナルスウェーデンライクリスプブレッド-ウェッジ、7.06-オンスパッケージ(6個入り) Leksands Original Swedish Rye Crispbread - Wedge, 7.06-Ounce Packages ( pack of 6)ではごきげんよう。
2022.07.28
コメント(0)
![]()
【Windows 10トラブル対策】Windowsを更新したら、IMEでいつものキー設定ができなくなったhttps://atmarkit.itmedia.co.jp/ait/spv/2011/13/news012.html要するにwindows11でも昔のIMEを使えますって話なんですが毎回思うのは、この変更スイッチがなんでこんなに深い階層に用意されているんだろうってことですね。本音では昔のIMEを使わせたくないというのはわかるんですが、ならば今のIMEでも昔のIME同様の機能を使えるようにして欲しい。少なくともキーボードのカスタマイズがほとんどできない時点で使う気が失せる。(私は変換・無変換のほかに、BackspaceとESCをいじってます)文節区切りも学習しなくなったしhttps://plaza.rakuten.co.jp/spectra/diary/202001100000/年々バカになっていってる・・・これ↑、全然問題にならないんだろうか?マイクロソフト社内の誰も指摘しないのか?そんなんでいいのか・・・?ATOKもいいけどさジャストシステム 一太郎2022 プラチナ [ATOK 40周年記念版] 特別優待版 WEBイチタロウ22プラチナユウタイWD [WEBイチタロウ22プラチナユウタイWD]【AUMP】ではごきげんよう。
2022.07.27
コメント(0)
![]()
国語が苦手な娘に、新聞の日曜版についているクロスワードパズルを解かせるようにしました。なんだかんだ言っても、語学能力は語彙力です。そして語彙力は学習力全体を底上げします。勉強に躓くのは、言葉が分からないからということが非常に多いと思います。数学や科学がとっつきにくいのは、正確を期すあまり、日常生活であまり使わない用語を使うことにあると思うんです。正確さは二の次でいいから、まずはイメージをつかみやすい平易な語句をつかって教科書を書くべきです。専門用語に置き換えるのは、それこそ専門課程に進んでからでいいと思うんですよ。(っていうか、もう変な日本語に置き換えないで、素直に英単語を教えたほうがいいと思う)前にも「外積」って言葉が嫌いということを書きましたがhttps://plaza.rakuten.co.jp/spectra/diary/202109270000/素直に「面直方向ベクトル」とか言ってくれれば直感的にイメージしやすいのに。 外積なんて変な言葉作りやがってクソが。こういうちょっとしたことで勉強って躓くと思うんですよね。量子力学の「量子」とかもわからないよね。「極小サイズ力学」などと言ってくれれば何をやっているのかよくわかるのに。正規分布もわかりにくくない?何が「正規」? っていうか、正規ってどういう意味? 正岡子規じゃなくて? 冗談じゃなく、そこに躓くんですよ。標準型分布とか、普通型分布とかのほうがよくない? だって英語ではnormal distributionだぜ。ノーマル分布(笑)科学の世界はたいして正確じゃなかったりします。イメージとは裏腹に、計算科学の世界なんて近似に次ぐ近似でものすごくいい加減だったりします。実験測定値だって誤差はあるわけだし、理論体系すら一定の仮定の枠組みの中でしか機能しない。だから用語の正確さよりもまず、ざっくりとしたイメージをつかめることのほうが大切なんじゃないかと思うのです。これはもう、文理融合というか、言語学者や心理学者、メディア研究者、文化研究者などと共同して、教科書をわかりやすい単語で(今風の言葉で)書き直すべきだと思います。正確さは二の次でいいからまずはイメージ重視で。そうでもしないと若者の理系離れなんて止まらないよ。《500円クーポン配布中》 タカラトミー いつでも脳トレパズルタブレット 脳トレ パズル クロスワード ナンプレ 脳トレタブレット 持ち運べる 童謡 健康管理 収録 体重 血圧 体温 歩数 グラフ 知育玩具 頭を使う 脳の体操 頭の体操 考える ナンバープレイス話はそれましたが、新旧いろんな言葉に触れるのにクロスワードパズルはいいと思います。なので、学校の国語の宿題は全てクロスワードパズルにすべきです。私が文科大臣ならそうしますね。ええ。ではごきげんよう。
2022.07.26
コメント(0)
![]()
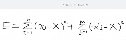
画面キャプチャで数式をLaTeX形式に自動で変換してくれる「Mathpix Snip」を使ってみたhttps://gigazine.net/news/20200106-mathpix-snip/試してみたところ、手書きだと誤認識されそうなシグマや上付き文字も問題なく認識。あっという間にLaTeXコマンドにしてます。某数式エディタ3.0よりも全然使いやすい。これは便利だ!ただfreeプランだと一か月に10個だけしか変換できないのが残念。マイクロソフトが買収してパワポに組み込んでくれないかな?あなたが理解していない数式のどの部分か - 数学の先生 Tシャツ宇宙を支配する数式リング(磨)ではごきげんよう。
2022.07.25
コメント(0)
![]()
クックベッセルのチャポットというアルミ製の急須を愛用しています。このシリーズ、かれこれ30年ちかく使っていると思われる。https://plaza.rakuten.co.jp/spectra/diary/201603310000/これ、見た目のかわいらしさもさることながら、かなり使いやすいんですよね。特に出口の形状が秀逸。パイプを切っただけに見えますが、実は飛び散らずにきれいに放物線描いて流れ出てきてくれます。茶こしの網が破れてしまったのですが、茶こしの形状がちょっと特殊で、よくある代替品は使えません。新たに買い替えようとしても、もう作ってないみたいなんですよね。まだかろうじて売っていますが、たぶん在庫のみで、めちゃくちゃ高い。クックベッセル チャポット(ヨコテ)泣く泣く別の急須を買いました。ドリームというやつです。MAEKAWA/前川金属工業所 急須 0.6L 横手 シルバー ドリーム アルミ公称容量は、チャポットが0.65L、ドリームが0.6Lです。 水を満タン入れて容積を実測してみるとちょっとづつ小さい。実際使ってみると、この60mLの差は意外と大きいです。コップ半分足りなくなる感じ。この急須も、茶こしの形が変なんだよなぁ・・・アルミ製の急須って、どうして、どいつもこいつもひねくれているんだろう?チャポット復活してくれないかな・・・ではごきげんよう。
2022.07.24
コメント(0)
![]()
低反発ウレタンのまくらを長年使ってきたのですが、経年劣化してボロボロとこぼれるようになってきました。朝起きると、首の周りに小さいカスがびっちりついてる状態です。さすがに寝起きが不快なので(健康にも悪そう)、まくらを買い替えることにしました。ただし、可処分所得に余裕はないので、イオンで似たような形状と硬さの低反発まくらを安く買ってきました。今まで使っていたまくらの1/4ぐらいの値段でした。あ、ミケの顔は関係ありません。あくまでもこの写真の主題は左のまくらですから。安いからと言って寝心地が悪いわけではないです。逆を言うと、高いからと言ってよく眠れるというわけでもないのかもしれない。【TEMPUR テンピュール】 低反発枕/まくら 【かため 高め Mサイズ】 DJホワイト 正規品 3年保証付き 『オリジナルネックピロー』【代引不可】_送料無料私は、ソバガラのまくらが苦手です。ガサガサ耳元で鳴るのが五月蠅くて眠れません。あとフワフワの枕もダメです。肩が凝ります。理想は、ヘタッた座布団を二つ折りにしたような硬さと高さなんですが・・・・そういうの好きな人も多いと思うんですが、うたい文句にしている製品はないんですよね。「居間のうたたね寝心地を再現」っていうキャッチコピーで売れないかしら?【ふるさと納税】防水整形外科枕ドクターズピロー(ワイドサイズ)(防水枕カバー付き)幅60cm×奥行30cm×高さ5cm~9cm ≪枕 まくら 日本製 快眠 安眠 プレゼント ギフト 寝返り 高さ調節 防水 硬め≫ではごきげんよう。
2022.07.23
コメント(0)
![]()
私はOM-D M10 mark2というデジカメを使っているのですが、https://plaza.rakuten.co.jp/spectra/diary/201709270000/とても多機能なので、全部の機能を使いこなせているわけではありません。いつのまにかmark4になってるし・・・オリンパス|OLYMPUS OM-D E-M10 Mark IV ミラーレス一眼カメラ EZダブルズームキット シルバーライブコンポジットなんて機能があるのですね。星空撮影にチャレンジしてみませんか?https://www.olympus-imaging.jp/product/dslr/recommend/how-to/starry-sky/index.htmlこれを使うと、打ち上げ花火もきれいに撮れるらしい。いままでシャッタースピードを長めにして撮っていましたが、せいぜい2秒ぐらいなんですね。シャッターが下りてからすぐに次の撮影ができるわけではない(デッドタイムが1~2秒ある)ので、これだとシャッターチャンスを逃してしまうことが多いんですよ(2秒の間に終わったりとか、3秒ぐらいで盛り上がったりとか)。いい機能を知ったので、今度の花火大会はぜひこれで挑んでみたいと思います。どちらかというと、どっちが楽しみかというと、難しい問題だ。セット 浴衣 4点セット レトロ 浴衣セット 大人 夏祭り レディース 女性 花火大会 レトロモダン浴衣 下駄 女の子 帯 ゆかた 可愛い 上品 ユカタ 大きいサイズ ファッション 浴衣帯 和服 花柄 2way 夏 4点セット浴衣 フリーサイズ sサイズ 女性用 帯飾り お祭り 浴衣作り 韓国というか、花火大会が今までなかったんですよね…今年はいろいろ復活するみたいなのでうれしいですね。遠くで花火の音が聞こえてくると、なんか気になりますよね~夏あるあるですね。ではごきげんよう。
2022.07.22
コメント(0)
![]()
「手で書きまくる人」がやっぱり強いワケ。記憶力・目標達成率で圧倒的に優位に立てるhttps://studyhacker.net/writing-4merit-evidence これって、デジタル手書きでも良いのかしら。つまり、手書き入力機能を使えば効果あるんだろうか?普段からonenote を使って手書き入力で文書を作成すれば、アナログ手書きよりもいろいろ活用できそう。pdfをドラッグドロップで直接張り込めるのも便利。ペンらしい動作をするのはMicrosoft whiteboaedのほうが使いやすいように思います。teamsの会議から、ダイレクトにwhiteboardの画面が共有できるので、参加者全員がその書いたものを見ながら議論できるのも便利。でもpdfを直接貼りこめないんだよね。そこが残念。対応望む。いずれにしても、なにか手書き入力デバイスが必要。このためだけに液晶タブレット(液タブ)を買うのも難しい(結構高額)。WACOM 15.6型液晶ペンタブレット Wacom Cintiq DTK1660K0D [DTK1660K0D]【AUMP】ペンタブレットならもうちょっと安いけどHUION ペンタブレット ペンタブ H430P 4.8×3インチ Windows Mac Android Chrome OS 88.0以上に対応 充電不要ペン 4096レベル筆圧 OTGアダプター付き 初心者向け イラスト入門用 osuゲーム用でもお遊びとして買ってみるにはちょっと高い。ならば、手元にある使っていない(古い)タブレットをペンタブ化(液タブ化)できないだろうか?できなくもない → Androidスマホやタブレットがペンタブ替わりに!?楽しいぞ!VirtualTablet!!https://nichijou-love.hatenadiary.jp/entry/20180213/1518459517職場のPCには藤原竜也が入っているので、この手のデバイスを手軽に試せなくなってしまいました。アレのせいで藤原竜也が嫌いになった人も多いのではないでしょうか。いろいろ考えていると、意外にも最大の障壁は、ペンだと思う。安い100均のゴム式のペンじゃ、先が5mmぐらいあって太すぎて書きにくい。けど、先が1mmぐらいの細い電磁式にやつは高い。マウスより高い。そうか、ペン型マウスがあればいいのか!っていうか、あるじゃんマウス ペンマウス ワイヤレス ペン型 マウス 無線 携帯 持ち歩き タッチペン USB[ (ブルー)[定形外郵便、送料無料、代引不可]しかし現状はまだまだデカい。ペン型というにはちょっと。本当にボールペンぐらいのサイズになればもっと浸透してもおかしくない気はする。ボールペンの先のボールがマウスボールにはならんかな?ではごきげんよう。
2022.07.21
コメント(0)
![]()
焼きそばの残りに、ごはん混ぜて、ソース増して焼き直したら、そばめしになりました。いい加減に作っても、なんとかなるもんだ。っていうか、ソース味なら何でもいいって感じが無きにしも非ず。そう、夏ならね。夏は、ソース。焼きたてはさらなり。焦げ目もなほ。かつお節の多く飛び違ひたる。また、一つ二つなど、いっぱいパック買いまわり行くもをかし。花火など鳴るもをかし。と、清少納言さんも申しております(嘘)まんがで読む枕草子 (学研まんが日本の古典) [ 東園子 ]ではごきげんよう。
2022.07.20
コメント(0)
![]()
贅沢アイスの代名詞といえばハーゲンダッツですが、昔はそうじゃなかったんだよな~私が子供のころは、圧倒的に「レディーボーデン」。レディ~ ボーデン♪そこの歌ったやつ! 昭和だな!?一時期日本市場から消えていたレディボーデンですが、近年また復活し、よく見かけるようになりました。ハーゲンダッツよりも柔らかく、食べやすい。昭和世代には、これこそが「お高い」アイスクリーム直球ど真ん中ではないだろうか。柔らかく食べやすいので、パイントで買ってきてもすぐになくなってしまうのが欠点だねぇお中元 レディーボーデンパイント(470ml)6個セット(3種類×2個)アイスクリーム ギフトコレなら、悩まなくて済む!お中元 ギフト ハーゲンダッツ & レディーボーデン アイスクリーム おすすめ ギフト セット レディーボーデンええそうです、誰か私にレディーボーデンのお中元をくださいってことです。ではごきげんよう。
2022.07.19
コメント(0)
![]()
スリムファンの上も、すみっコぐらしなのですすみっコぐらし ぬいぐるみ (L) MP70001/MP70101/MR38301/MR38401/MX14901/MY93201【すみっこぐらし/スミッコグラシ/インテリア/コレクション/しろくま/ぺんぎん?/とんかつ/ねこ/とかげ/定番/クリスマス】【あす楽対応】ではごきげんよう。
2022.07.18
コメント(0)
![]()
これがこうなってこうなりました。えらい目に遭ったわ!えらい目、というのは、雨に降られたのではありません。レストランで席待ちをしていたんですが、あまりの大雨に客が全く出ず、待ち時間がものすごく長くなってしまいました。自分が同じ立場だったら同じことをすると思いますが、待たされる方の立場では、微妙に殺意が湧く(笑)アイス食ったった。梅雨時よりも、むしろ真冬に使ってみたい。くつ乾燥機 シューズドライヤー 22cm 〜 27.5cm 対応 温熱式くつ乾燥器 タイマー付 靴の中 乾かす スニーカー パンプス 革靴 ローファー ブーツ 対応 コンパクト 下駄箱収納 靴乾燥機 梅雨 豪雨 雪 対策 乾燥機 ◇ 靴乾燥ポカラリではごきげんよう。
2022.07.17
コメント(0)
![]()
前から行ってみたかった、保渡田八幡塚古墳を訪れてみました。石で綺麗に覆われており、群馬によくある「ただの盛土かと思ったら古墳だったのね」というものとは一線を画しています。戦国時代の城のように見えなくもない。実は中に入ることができ、きれいな展示室になっています。石室が展示されています。そんなに高くはないですが、周りになにもないので、微妙に景色がいいです。確か、この古墳はJOY'ntでまりこふんとJOYが訪れていた・・・と思う古墳deコーフン! [ まりこふん ]埴輪の一団が居ます。結構カワイイ。特に馬がカワイイ♪はにわ 埴輪 古墳 馬埴輪 ハニワ 前方後円墳 世界遺産グッズ ハニワグッズ 糸のこ かわいい ひのき 木目 雑貨 ウッド 置き物 飾り インテリア 玄関 リビング 子供部屋 可愛い ヒノキ 堺工房 手作り サステナブル【mocolabo】【モコラボ】こんなところ、誰もいないだろう・・・と思っていたんですよ。市街地からも離れているし。でも地元の人が結構たくさん来ているようでした。散歩がてら。なんか、のんびりしてて良いね。ではごきげんよう。
2022.07.16
コメント(0)
![]()
自分の寿命を判定してくれるサイトがあります。Project Big Lifehttps://www.projectbiglife.ca/ついに出た!!「自分の寿命がわかる計算サイト」爆誕! https://tocana.jp/2021/07/post_214702_entry.html生活習慣などを入力してくと、同じような生活様式を取るヒトとの比較から寿命を推定してくれます。私の寿命は、90才らしい。嫌ああああぁ・・・そんなに長生きしたくない!おれは太く短く生きるんだぁ!子供の頃から70才ちょっとで死ぬんだ、と思っていたので、人生設計がそうなってます。あと20年もどうやって生きれば良いんだ!?やること無いし!金も無えよ!ちなみに73才で生きている確率は、95%もあるそうです。いやぁぁぁぁぁ~73歳でも十分に長生きだよ・・・52歳からのお金のリアル 定年後の“長生きリスク”に効く処方箋とか言ってると、明日にでもコロッと逝ってしまうかもしれないのであまり余計なことを言わないほうがいいのかな。ではごきげんよう。
2022.07.15
コメント(0)
![]()
最近、スマホの電池の減りが早い。朝に100%にしておけば、帰宅する頃には50%ぐらい残っていたんですが、近頃はそんなに持たず、夕方には電池切れで電源が落ちてるってことがしょっちゅうです。ってうか、充電も遅い。寝る前に充電しておけば、朝には100%だったものが、最近は70%ぐらいまでしか行ってない。たかだか3000mAhのバッテリーなのに、6時間かけて50%ぐらいしか充電されないってどういう事?流石に気になって、電流計ってみたところ0.15Aしか流れてないし・・・(笑)そりゃ充電されなわけだよ。原因は3つ。1、スマホのバッテリーが劣化してる2、充電器がヘタってきている3、ケーブルがヘタってきているスマホのバッテリーの性能を見ると一応、まだ大丈夫な様子。充電器を変えるとちゃんと普通のスピードで充電される。ケーブルを買えても変わらない。ということで、充電器が死にそうである、と結論付けたんですが、こういうときに限って余っている充電器がないんだよねぇ・・・ということでマーフィの法則の方からも充電器が不調なことが濃厚となりました。ワイドバンドギャップの面目躍如【5倍ポイント】「送料無料」LOMAYA 20W iphone13 急速充電器 Quick Charge 3.0 iPhone 充電器 2ポート ACアダプター usb-a type-c タイプc対応 USB充電器 Android スマホ充電器 携帯充電器 ミニ充電器 軽量 コンセント 3A出力 アイフォン/アンドロイド おすすめとりあえず安いものでも、なにかUSB電流計が一つあると、こういう時ムダに悩まないで住むので、非常に便利です。★19日20:00から26日1:59 ポイント最大25倍!!★USB 電流 電圧 チェッカー 電圧計 USB電圧測定器 簡易 簡単 計測 電流計 バッテリーテスター 測定器 コンパクト (管理C) 送料無料ではごきげんよう。
2022.07.14
コメント(0)
![]()
ikea工事中。この景色もそろそろ見納めか。この看板だけ、このまま残しておいて欲しいな。遺跡の展示室みたいに。無理か。IKEAができたら、大皿を買いに行こうと思ったんだけど、今、売ってないんですかね・・(直径30cm位ある、サラダ用?の平皿)17209という型番らしいコレ↓なんだけどhttps://picclick.com/Ikea-Smooth-All-White-Salad-Plate-17209-224063798332.htmlもう売ってないみたい。デカすぎて日本の小さな食器棚には収まらないのだろうか。別にIKEAでなくてもいいんですけどね。どうせなら同じものがもう一枚欲しいていうだけで。30cmピザ 白 ※盛り付け部分のみフラットで、淵部分は上がっております 陶器磁器の食器 おしゃれな業務用洋食器 お皿特大皿平皿 フラット オードブル ワンプレート飾り付けもなにもない、プレーンな平皿って、一枚持っていると便利ですよ。ピザとか一枚まるまる乗せるのに非常に便利なんだけどね。デカすぎてそんなもの食わない?ではごきげんよう。
2022.07.13
コメント(0)
![]()
暑いのに、ケーキなんて焼いてたりしてしかもローソクまで立ててたりして見てよ、このいい加減なローソクの立て方。飾り付けのセンスないよねぇ~いやね、暑いんすよだったらなぜレアチーズケーキを作らないのかと小一時間(ry【季節限定商品!】 とろなまレアチーレモン バウムクーヘン レアチーズ レアチーズケーキ チーズケーキ レモン レモンケーキ せんねんの木 バームクーヘン 洋菓子 スイーツ ギフト バウム ケーキ 母の日 父の日 誕生日 プレゼント のし ラッピング バーム バースデーオチはありません。いやね、暑いんすよではごきげんよう。
2022.07.12
コメント(0)
![]()
センターメーター車がなくなりつつあるらしい。今やプリウスとソリオくらいよね? 一時流行ったセンターメーターが廃れたワケhttps://bestcarweb.jp/feature/column/460456?prd=2昔から何度も書いていますが、私はセンターメーターが大っ嫌いなのです。これのせいで捕まったんだからな!https://plaza.rakuten.co.jp/spectra/diary/201306240000/「嫌い」を100回繰り返してもいい。いや、それでも足りない。機能的な利点がない上に、技術的な必然性もない。https://plaza.rakuten.co.jp/spectra/diary/201001140000/デザインのためのデザインという、最も憎むべき存在。 なのにそもそもデザインがダサい。こんなもん、淘汰されて当然。ということに世の中の人もようやっと気づき始めたようです。よかったよかった。あんなものはさっさと絶滅してしまえ。(上の記事では、無難なデザインに流れたって事になっていますが、個性重視の現在でそんな事あるだろか?やっぱり圧倒的に使いにくという声が多いからではないだろうか?みんなが使いやすいといえば、無難なデザイン=センターメーターということになって、むしろ溢れかえるハズ。つまり使いにくい、ダサいということの証明でしかない)元祖? MINIでさえ、今は通常位置にメータがあるんだし。BMW Mini F56 | インテリアパネル【ハルトデザイン】BMW MINI F56 センターメータートリム(クローム) 2pcsそもそも論でいうと、そろそろメーターレスの車ができてもおかしくない。フロントウインドウにHUDで速度と燃料計だけ表示されていればよい。電動車ではタコメータは不要。なんのマークかわからない警告灯もやめて、ナビ画面に丁寧な警告文と対処法を表示するようにした方がいい。空調吹き出し口もうまく隠して、一枚板のバーカウンターのような車離れしたインパネができたら、それはデザインのためのデザインであってもかっこいいと思う。【日本製】ニューヨークスタイル・カウンターキャビネット W3600 クラシック エレガンス カントリー アメリカンカントリー ナチュラルスタイル キャビネット アンティーク キッチン収納完全自動運転の時代になったら、それこそバーカウンターのようなクルマも出てくるでしょうね。運転しなくて良いんだもん。さてそんなものは登場するでしょうか?10年後ぐらいのモーターショウが楽しみです。ではごきげんよう。
2022.07.11
コメント(0)
![]()
中高生新聞のネタが攻めてる。「地球外生命体は必ず存在します」といってみたり、一部のオカルト愛好者しか知らないようなドレイク方程式がかなり丁寧に解説されていたり、地球外知的生命体に出会ったときの政府の正式な手順が書かれていたりと、もはや地球外知的生命体の存在はほぼコモンセンスと言っても良いのではないでしょうか。いままで隠されていた情報が一気に公開される「グランド・ディスクロージャ」も近いと噂されていますね。https://blog.goo.ne.jp/ufoizm/e/3812faad5594f4dba52f5c8115e3659dこういう風に中高生新聞のネタにして、少しづつその存在に慣らしていこうとしているんでしょうか。さて、どうなんでしょうね。眠れないほど面白いUFO 9割方、これは本当だ! 「地球外知的生命体」の謎【電子書籍】[ 並木伸一郎 ]ではごきげんよう。
2022.07.10
コメント(0)
![]()
前々から思っていたんですよ。キッチンに扇風機欲しいって。対面キッチンって、周囲が囲まれている構造なので、リビングのエアコンの冷風はほとんど流れてきません。さらにコンロを使うと灼熱地獄です。無計画に風を当てるとコンロの火が散ってしまうので、顔回りだけ当たって欲しい。どうしたものか。。。と悩んでいたんですが、ついに良いものを見つけました。マグネット固定式の小型扇風機。昔はこの手の小型扇風機はあまりなかったのですが、最近はUSB端子を使うことで5Vの給電がしやすくなり、小さなモーターで回せる小型扇風機が一気に増えたような気がします。トップランド(TOPLAND) どこでもFANコンパクト SF-DF15 WT 携帯 ポータブル 扇風機これをレンジフードに貼り付けてみました。これでガスコンロを使っても涼しいぞ!と思ったんですけど実は、ガスコンロからの熱気が扇風機で飛ばされて顔に当たるので、ドライヤーの温風モードにしているような感じです。ちょっと失敗。。。レンジフードに吹き込むように風を送らないとダメですね。今のところ、最適な場所を見いだせていないので、しばらくは温風モードで我慢します。ないよりマシなので・・・ではごきげんよう。
2022.07.09
コメント(0)
![]()
群馬パーツショウなるものに行ってきました。群馬トヨタが主催する、クルマ関係のメーカーの見本市です。久しぶりの開催だそうです。広いGメッセを埋め尽くすスゴい熱気。この前までワクチンを打っていた会場でこのイベントとは・・・なんか感慨深いものを感じます。いまや納期5年待ちという300ランクルやレクサスLXがゴロゴロ展示。中でも、私はこのジャオスのLXが一番好きですね。品があってまとまりもいい。ジャオスって群馬の会社だったんですね。ランクル スタイリングパッケージ 200系 2015/08- JAOS(ジャオス) A008050ARVだけじゃなくて、スポースカーもいっぱいあります。なんだかんだいっても、いま日本で一番スポーツカーを売っているのはトヨタだね。もはやベース車がなにか分からないぐらい、ゴリゴリのカスタマイズが素敵。元気になるわ。ランクルに座ってみた。すげーデカい!私がランクルに乗ることはないと思いますが、一台やる、といわれれば、遠慮なく頂ききます。こんなイベント、クルマオタクばっかりか、、、と思ったんですけど家族連れも多かったのが意外でした。子供が車好きだからね。こういうお子さんは大切にしてあげてね。それよりも、カップルが多いのがもっと意外でした。こういうところにいる女の人って、「イイ女」系の人が多いんですよね。不思議と。クルマじゃなくて何を見に行ってるんだって話ではごきげんよう。
2022.07.08
コメント(0)
![]()
今年の前橋七夕まつりは、リアルで開催されました。かつては北関東最大(微妙)という規模を誇った七夕まつりですが、今年は飾りつけは少なく、ちょっと寂しいかなと思っていたんですが蓋をあければ、スゴイいっぱい人が集まっていました。みんな、祭りに飢えてる・・・特に若い人(中高生・大学生あたり)が多かった。なんだかんだいっても、やっぱり若者のパワー、熱気ってスゴイね。そこに居るだけでエネルギーの凝集が感じられる。やっぱりリモートなんてダメっすよ。と思わざるを得ない。理屈じゃない。犬用の七夕おやつと七夕ステッカー付! ミルキーウェイギフト/スイーツ・人気・ギフト・贈り物に/無添加 可愛いスイーツ3種食欲アップ!栄養補給に!彩り豊かなこだわり食材使用 砂糖不使用 低カロリー たなばた 夏 祭り イベント ごちそう 健康と長寿を願ってではごきげんよう。
2022.07.07
コメント(0)
![]()
ボートマッチというサービスが面白い。自分の意見を入れると、最適な候補者を提示してくれるというもの。いくつかあるようですが、https://go2senkyo.com/seijika/163368/posts/418591試しに日テレのやつをやってみると(単に有働さんが好みというだけです)https://www.ntv.co.jp/election2022/research/diagnosis/私はどうもやや保守的らしい。全国平均と比較し、近い政党を表示してくれます。県ごとだと候補者を表示してくれますコレは面白い。自分で色々調べるよりも、より直感的に提示してくれる気がする。こういうの、若者は好きなんじゃないのかな?----若者といえば、投票率向上が叫ばれていますね。若者だけじゃないですが、とにかく投票率をあげようと、各方面で必死にアピールされています。私個人としては、正直、何もしなくてイイと思っています。興味のないヤツは放っておけばイイのです。政治は、注目させられるものではなく、注目するものです。自分の好きなように税金を使ってもらう候補者を支持するから、余計なこと言わないでほしいのです。選挙にいかないということは、その人の払った税金を私の好きなように使ってもいいってことなので、黙っておいてほしいのです。ぐらいズバッと言った方がいいと思う。選挙に行くのは、なによりも、あなた自身のためですよ。選挙を楽しもうとか、TVショー化するとか、なんかちょっと全体的におかしい気がする。先人がそれこそ命をかけて獲得した権利なんだから、もっと大切にしないといけないね。とか言いつつ、ボートマッチが面白いとか言ってるんですけど・・・せっかくの6年に一度のお祭りなので、投票に行って楽しみましょうよ。ボートマッチ(違)【送料無料】模型車 モデルカー マルチパックボートマッチボックスフォードブロンコトレーラーではごきげんよう。
2022.07.06
コメント(0)
![]()
ウーバーイーツの割引券がポストに入っていたけど、うちの辺り、圏外ですから・・・一番近い配達圏までも数kmあるんだけど、わかって入れてんのかな?ウーバーイーツなんて都市伝説ですから。いつでも食べ物が宅配されるなんて、そんなの仮想現実ですから。とはいえ、どんなに良いヘッドセットを使っても、食べ物だけは味わえない。Vr shinecon 10.0 casqueヘルメット3Dメガネ仮想現実ヘッドセットスマートフォンラップトップ、スマート電話ゴーグルビデオゲームviar双眼飲食だけはどこまで行ってもリアル。世の中がどんなに大変革しようとも、最終的に残る産業は、第一次産業だと思う。ではごきげんよう。
2022.07.05
コメント(0)
![]()
暑い。なのに、夕立がない。全然雨振らない。先日の夕方、ちょっと(ほんのちょっとだけ)通り雨が降ったんですけど、一瞬で車がすごく汚れました。よっぽど雨降ってないってことですね。。。黒い砂ぼこりって何?いつもこんなに黒くないけど・・・空気中の汚染物質ですかね?洗車する意欲が湧きますね。大人の水遊び(笑)ポータブルシャワー 簡易シャワー 携帯シャワー 電動シャワー アウトドアシャワー 電動ポータブルシャワー DC12V 車用 海水浴 ビーチ キャンプ 水遊び プール 防災グッズ 洗車用品【送料無料(北海道、沖縄、離島は適用外)】ではごきげんよう。
2022.07.04
コメント(0)
![]()
ついに全員集合しました。ふくふくにゃんこの箸置き。おしりがカワイイ。単に色違いに見えるかもしれませんが、よく見ると、すでに発売されていたオス5匹と比べて、新たに追加されたメス3匹はちょっと小さいんですよね。しかもスコアは耳がちゃんと丸くなってる(スコティッシュフォールドなので)。型も新たに作ったんだ・・・なにげにしっかりと作ってあって驚き。次回作は新参3匹のストーリーが読みたいですね。ふくふくにゃんこ にゃんこたちのしあわせな島のものがたり [ ハピンズ ]ではごきげんよう。
2022.07.03
コメント(0)
![]()
子供たちの期末試験も終わったので、久しぶりにペスカへ。ピザは食へ放題です。食いすぎた。しんどい(笑)若い時は食べ過ぎても大丈夫だったのに、加齢というのは恐ろしいもので、数日しんどい感じを引きずるようになりました。消化にも体力が必要ですね。食べ過ぎがよくないと言われるのは、摂取カロリーオーバーじゃなく、無駄に体力を使うために本来の体調維持がおろそかになるからじゃないか、と思ったりもする。糖化が良くないという話もあります。https://www.healthcare.omron.co.jp/resource/column/life/139.html老化促進物質であるAGE(糖化最終生成物)ができるとのことです。それにしても、誰がAGEなんて略語を考えたんだろう?Advanced Glycation End-productsの略語だそうですが・・・すごいワードセンスだな。老化を表すのにこれ以上の言葉はないだろう。老けたくないなら「AGE」を減らしなさい カラダが糖化しない賢い生活術【電子書籍】[ 牧田 善二 ]結局のところ、食べ過ぎず、飲みすぎず、適度に運動しろ、ってことに帰着するわけですね。広く浅く。いやそもそも、ピザが美味しくてついつい食っちゃうのが悪いんだ!?乳酸菌 糖化 サプリ 美エイジ(120粒入) 1ヶ月分 腸内フローラ 美容 腸活 整腸 免疫 腸内環境 サプリメントではごきげんよう。
2022.07.02
コメント(0)
![]()
今年のやたら暑かった日、電力需給ひっ迫警報 なんてものが出るようになりました。停電なんてしない、とみんな思っているでしょうが、それは非常に多くの人の活躍があっての話であって、当たり前のことではないのです。そのうち大停電が起こってもおかしくないですよ。エネルギーの安全保障は、資源を輸入に頼る日本には昔から極めて重大な問題として認識されてきました。もともと弱かったのに、ここにきてロシアの侵攻でますます危うくなっています、だからさっさと原発動かせと言ってるんですよ・・・https://plaza.rakuten.co.jp/spectra/diary/202106070000/普段から動かしておかないと、いざというとき動かないんですよ。あんな複雑ででっかいもの、炊飯器のスイッチいれるのとはわけが違う。ポンプ一つ回すにも多くの手順が必要です。そもそも、設備機械の問題じゃなく、人や、体制の問題なんですよ。急に人員は集まらない。電気が足りなくなってから呼んでも遅いんです。四散した技術者は、もう戻らないんですよ。以前、ブラジルに行ったとき、毎晩のように停電していました。エアコンが止まると、夜とはいえ蒸し暑く、かなり厳しい。っていうか、夜中に停電すると非常に怖いです。比較的治安のよいホテルだったとはいえ、真っ暗だし、部屋にいてもかなり怖い。電気供給が追い付かないなんて先進国ではありえない事態だよなと、しみじみと感じたものです。でも、それが日本で起こるようになっても不思議ではない。このまま円安で資源が買えなくなったら、いずれそうなるでしょう。つまらんスキャンダルネタで政治家を叩くよりも、一生懸命に働いてもらって経済と外交を安定してもらうよう尻を叩くほうが建設的だと思う。どうも目先の政策ばっかりが注目されて、20年30年先のビジョンが見えないんだよね・・・それは、そういうことを国民がもっと要求すべきだし、もっというと将来を担う若者が「目先の減税より未来への投資を」と言うべきなんだと思う。でないと、本当に30年後には停電頻発の貧相な国になってしうよ。まぁ群馬はしょっちゅう停電してますが、、、、落雷で突然の停電でも、こういうのが一つ点灯しているだけで、かなり安心します。マジで。[ポイント10倍][RITEX]停電時に自動点灯!点滅モードで救難信号にも1台5役充電式LED壁ホタルセンサー機能付きAL-300/AL300さらには、電源が一台あれば安心だとは思いますけどね・・・もっと安くならん?\期間限定・20%円OFF/SUPAREE ポータブル電源 大容量 在宅勤務 1000W 297600mAh 1101WH 純正弦波 家庭用 蓄電池 PSE認証済み 100V 日本仕様 エマージェンシー電源 軽量 MPPT制御方式 車中泊 キャンプ 防災グッズ 停電 非常用電源ではごきげんよう。
2022.07.01
コメント(0)
全31件 (31件中 1-31件目)
1

![]()
![]()