PR
Calendar
Keyword Search
Comments
Freepage List
Category



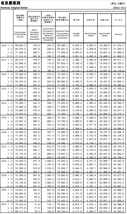
3.2021年1∼9月期名目GDPを「産業別」に見ると
構成比で最も高いのはサービス業で、製造業は20.5%、
農林漁業は0.9%に過ぎない。
公共サービス・教育・健康が19.2%と高く、貿易・運輸・
倉庫・食品サービスは15.9%、事業所サービスは11.1%、
不動産業は11.0%、建設業は5.7%、その他サービスは
3.6%である。
伸びでは、ウエートが最も低い農林漁業が9.0%、製造業
と建設業がそれぞれ8.5%である。

(注)
サービス業=貿易・運輸・倉庫・食品サービス以下のサービス業の合計
非サービス業=農林水産業+産業(除く建設業)+建設業
製造業は産業(除く建設業)に含まれている。
4.2021年1∼9月期の粗国民所得と貯蓄率
コロナ禍では、所得分配を見ると、全体は「+5.7%」増加している。
雇用者所得(雇用者報酬=賃金)の伸びは「+3.1%」と低いが、
資産家(財産所得)・企業家所得(企業所得)は
「+15.6%」も伸びている。
家計の可処分所得の伸びは「+1.9%」に過ぎない。
家計の貯蓄率は「16.3%」であった。

・・・・・・・
→日本ではこのようなったら、「新しい資本主義は格差拡大かも!」
今のQE法では、「雇用者報酬・財産所得・企業所得」の分割推計は
できず、国民所得統計では2019年度までしか産出されていない。
「岸田政権の実績」は遥か先にしか解らないから~
そのうちに居なくなるかも?
~ね、麻生さん。
<所得分配・・・国民所得の確報ベース>



<四半期ベースのQE(The Quick Estimation)法の限界>


(原系列は四半期ベース、季節調整済み系列は年率換算ベース)
★
コロナ禍での感染状況・・・ドイツ
https://www.worldometers.info/coronavirus/country/germany/
#graph-deaths-daily
1.感染状況
過去7日間の平均 55,604人
直近(11/25 ) 76,132人
2.死者数
過去7日間の平均 232人
直近(11/25) 321人
3.ワクチンの必要な接種を完了した人の割合
・・・ 68.1% (1回目は70.8%) ・・・
僅かに68.1%の完全接種率で~「安心したツケ」
に見舞われている。
★
米国の狙い目はウクライナの鉱物資源か? Feb 26, 2025
ロシアのウクライナ侵攻をウクライナ側か… Feb 25, 2025
英国2024年10月CPI Nov 20, 2024